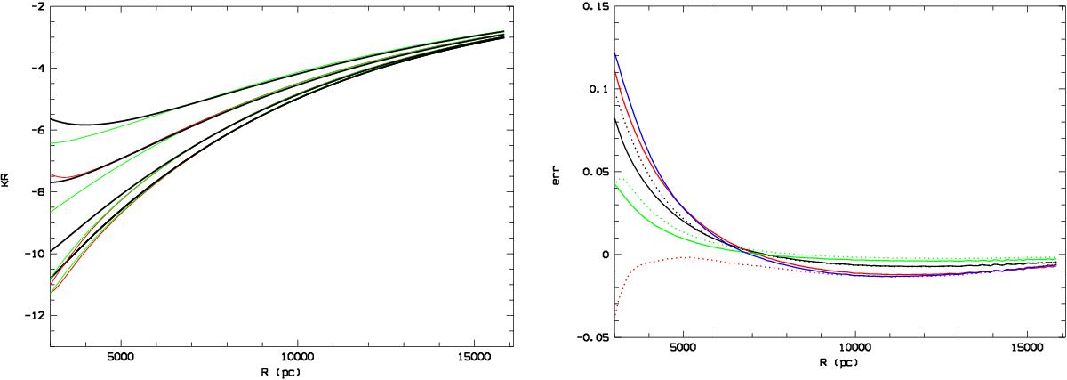
Fig. 6

Left: dark lines: radial forces KR of the BGM at several z above the galactic plane (0.5, 1, 2, and 3 kpc, bottom to top). Thin green lines: KR recovered from a Jeans equation in the case of a thick disc. Thin red lines: the case of a thin disc. Right: relative errors on the recovered radial force KR versus R at various z (0.5, 1, 2, and 3 kpc; resp. green, black, red, and blue lines) for thin disc DF (dotted lines) and thick disc DF (continuous lines).
Current usage metrics show cumulative count of Article Views (full-text article views including HTML views, PDF and ePub downloads, according to the available data) and Abstracts Views on Vision4Press platform.
Data correspond to usage on the plateform after 2015. The current usage metrics is available 48-96 hours after online publication and is updated daily on week days.
Initial download of the metrics may take a while.