Free Access
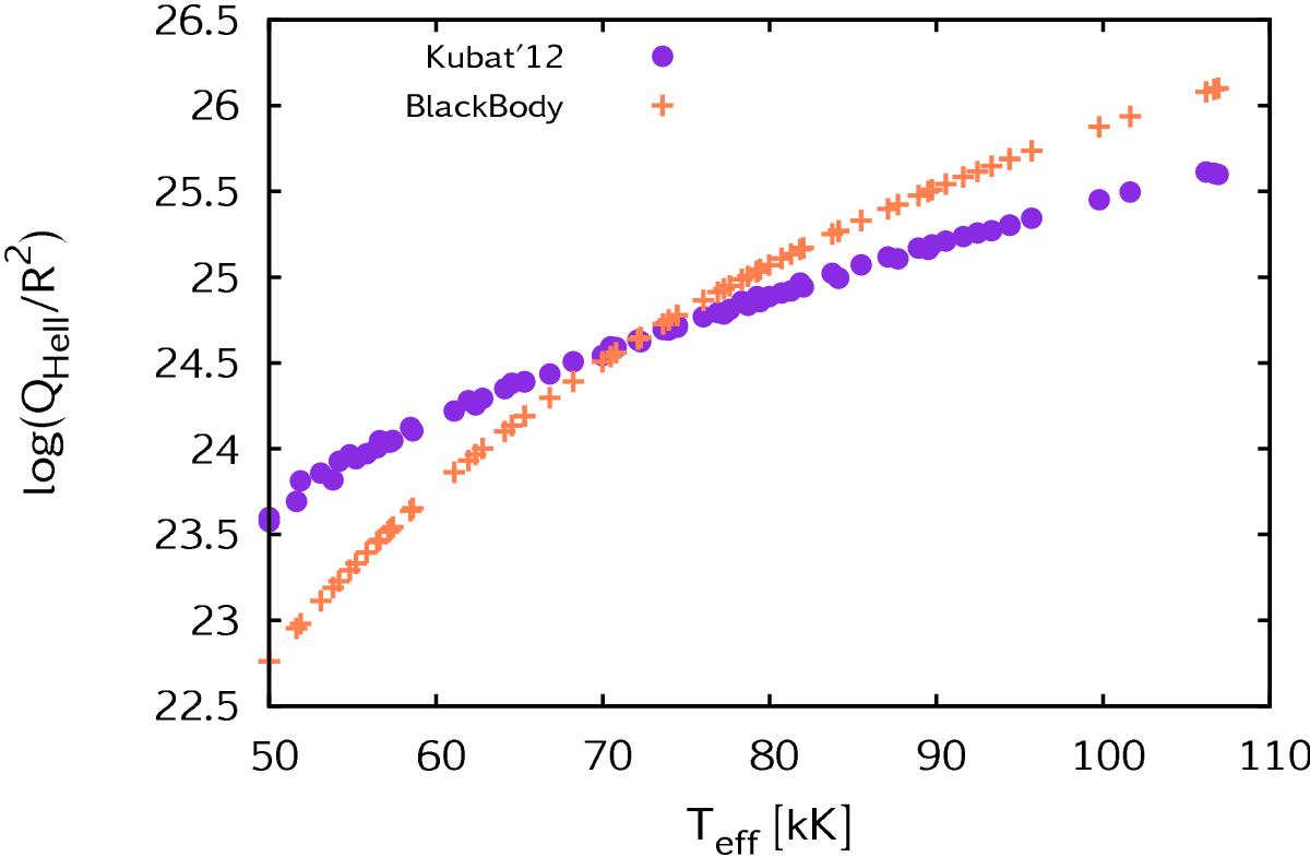
Fig. 18

Ionising flux (normalised to one square centimetre of stellar surface) in the He II continuum provided by Kubát (2012) based on non-LTE spectra of metal-free massive stars and ionising flux values using a black body approximation for the same collection of metal-free massive stars.
Current usage metrics show cumulative count of Article Views (full-text article views including HTML views, PDF and ePub downloads, according to the available data) and Abstracts Views on Vision4Press platform.
Data correspond to usage on the plateform after 2015. The current usage metrics is available 48-96 hours after online publication and is updated daily on week days.
Initial download of the metrics may take a while.