Free Access
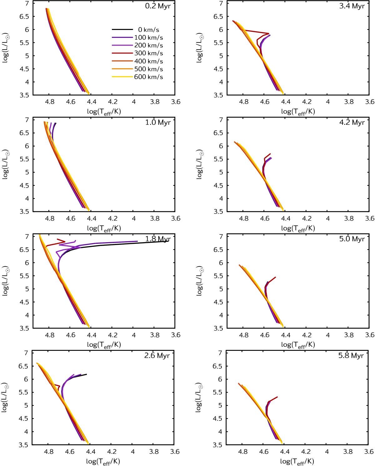
Fig. C.1

Isochrones of different ages of rotating stellar evolutionary models are shown in the HR diagram. The initial surface rotational velocity is chosen in steps of 100 km s-1 from non-rotating to 600 km s-1.
Current usage metrics show cumulative count of Article Views (full-text article views including HTML views, PDF and ePub downloads, according to the available data) and Abstracts Views on Vision4Press platform.
Data correspond to usage on the plateform after 2015. The current usage metrics is available 48-96 hours after online publication and is updated daily on week days.
Initial download of the metrics may take a while.