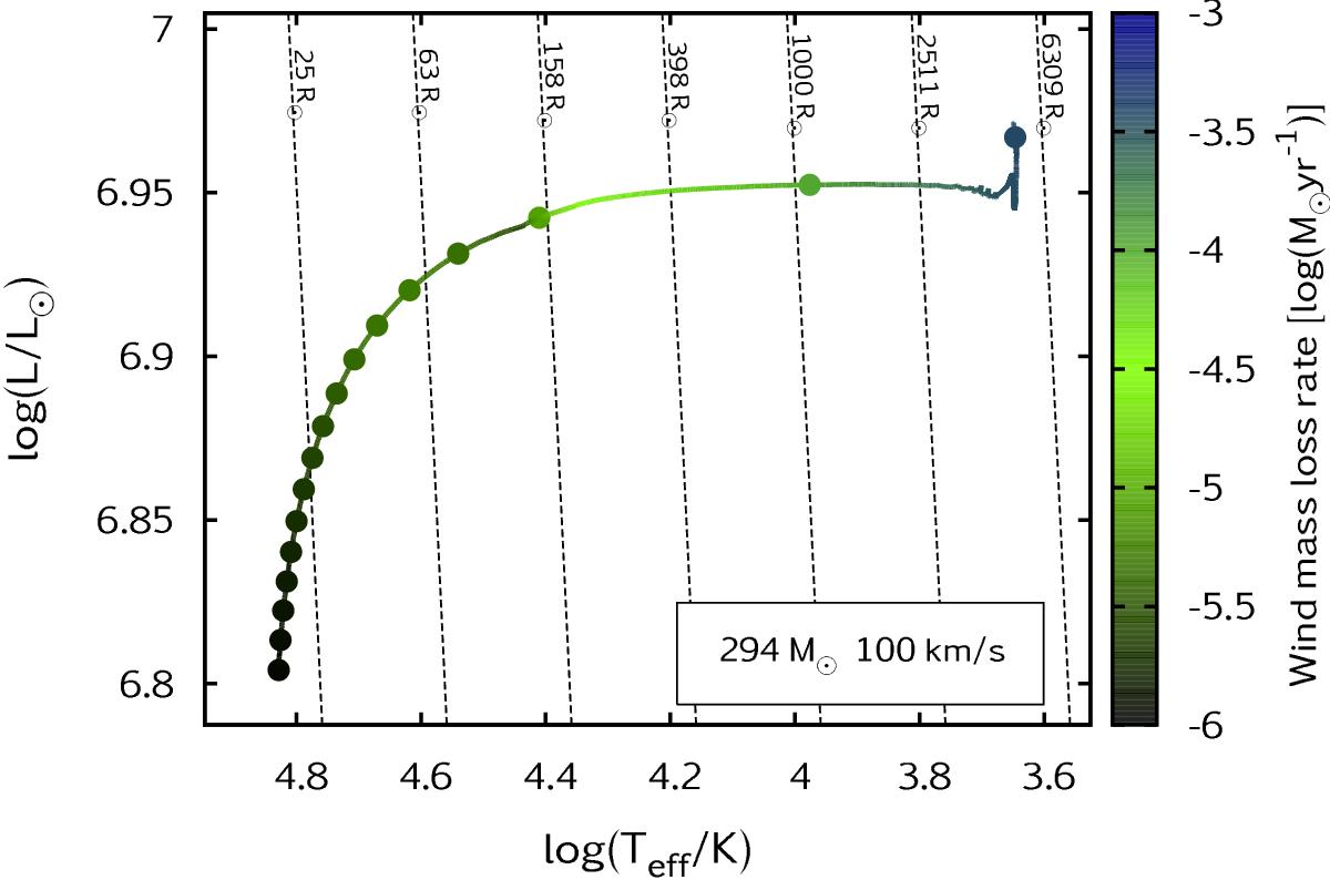
Fig. 7

Evolutionary track of our model with Mini = 294 M⊙ and vini = 100 km s-1 during core hydrogen burning in the HR diagram. Dots mark every 105 years of evolution. The stellar wind mass-loss rate is colour coded; black dashed lines of constant radii are labelled according to their radius value. The star becomes a core-hydrogen-burning cool supergiant during the last 15% of its main-sequence evolution.
Current usage metrics show cumulative count of Article Views (full-text article views including HTML views, PDF and ePub downloads, according to the available data) and Abstracts Views on Vision4Press platform.
Data correspond to usage on the plateform after 2015. The current usage metrics is available 48-96 hours after online publication and is updated daily on week days.
Initial download of the metrics may take a while.