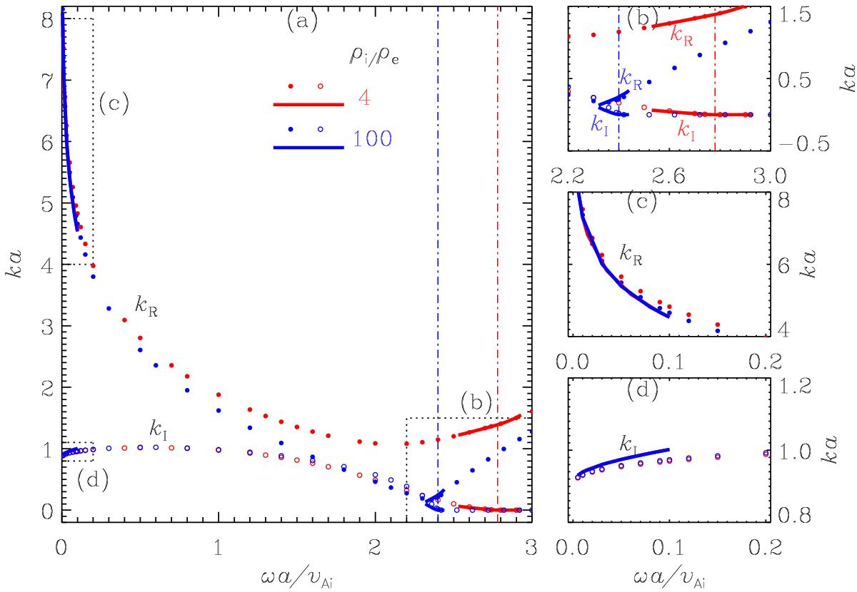
Fig. 1

Dependence on angular frequency ω of the real (kR, the solid dots) and imaginary (kI, open dots) parts of the longitudinal wavenumber. Two density ratios ρi/ρe = 4 and 100 are examined, and are given by the symbols and curves in red and blue, respectively. The vertical dash-dotted lines correspond to the critical angular frequency ωc, which separates the leaky (to the left of ωc) from trapped (right) regimes. Figure 1a presents an overview of the dispersion curves, while Fig. 1b (Figs. 1c and d) examines the portion where ω is close to ωc (ω approaches zero). The dots are found by numerically solving the full dispersion relation (DR, Eq. (7)) by assuming a real ω but a complex-valued k = kR + ikI, while the curves represent the solutions to the approximate DR (see text for details).
Current usage metrics show cumulative count of Article Views (full-text article views including HTML views, PDF and ePub downloads, according to the available data) and Abstracts Views on Vision4Press platform.
Data correspond to usage on the plateform after 2015. The current usage metrics is available 48-96 hours after online publication and is updated daily on week days.
Initial download of the metrics may take a while.