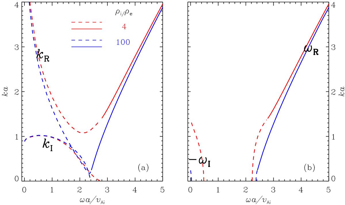
Fig. 2

Dispersion curves of a) propagating and b) standing sausage waves. In a) the real (kR) and imaginary (kI) parts of the longitudinal wavenumber are given as functions of the real angular frequency ω. In b) the real (ωR) and imaginary (ωI) parts of ω are shown as functions of the real wavenumber k, which is given by the vertical axis though. In both panels, the solid (dashed) curves represent the trapped (leaky) regime. Two density ratios (ρi/ρe = 4 and 100) are examined as represented by the red and blue curves, respectively.
Current usage metrics show cumulative count of Article Views (full-text article views including HTML views, PDF and ePub downloads, according to the available data) and Abstracts Views on Vision4Press platform.
Data correspond to usage on the plateform after 2015. The current usage metrics is available 48-96 hours after online publication and is updated daily on week days.
Initial download of the metrics may take a while.