Free Access
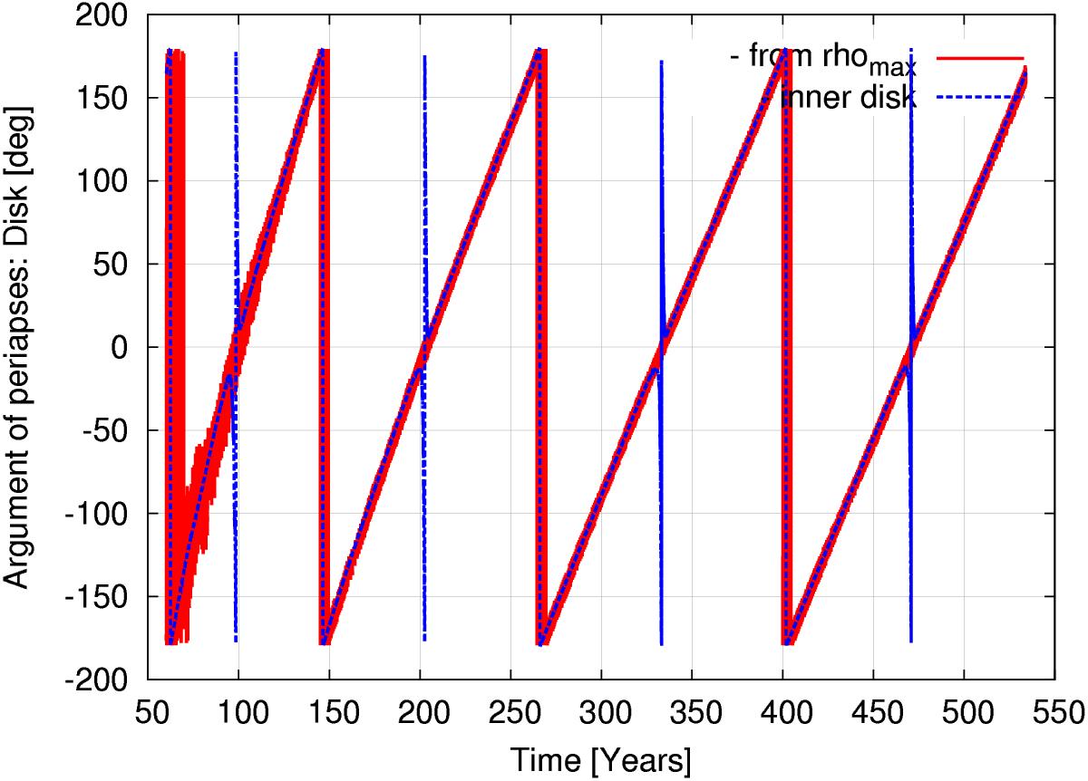
Fig. 4

Evolution of the argument of periapses of the disk with respect to the inertial frame. Results of two different estimates are shown for comparison. Red corresponds to estimates using the maximum of the 2D density distribution (see Fig. 2), and blue is for estimates using the mass-weighted mean value of the inner disk.
Current usage metrics show cumulative count of Article Views (full-text article views including HTML views, PDF and ePub downloads, according to the available data) and Abstracts Views on Vision4Press platform.
Data correspond to usage on the plateform after 2015. The current usage metrics is available 48-96 hours after online publication and is updated daily on week days.
Initial download of the metrics may take a while.