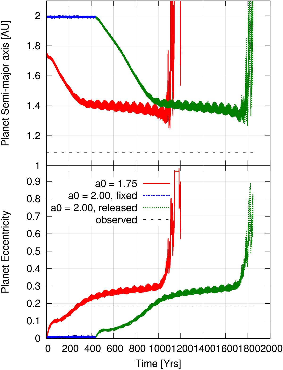
Fig. 6

Evolution of the semi-major axis (top) and eccentricity (bottom) of an embedded planet in an isothermal disk (reference model) that was first brought into an equilibrium. In the two simulations, the planet was started at different distances from the center of mass of the binary. In the first simulation (shown in red), the planet started at a distance of a0 = 1.75 au, and in the second simulation (shown in green and blue) it started as a0 = 2.0 au. In the simulation shown in red, the planet is immediately released and evolves with the disk. In the second simulation, the planet’s orbit is held constant during the first 600 yrs (in blue) and then released (green lines). In both simulations, the planet migrates inward with a rate of about 0.1 au/100 yrs. Both models result in unstable evolution when the planet has reached a distance of about 1.35 au. The dashed horizontal lines shows the observed semi-major axis and eccentricity of Kepler-34 b.
Current usage metrics show cumulative count of Article Views (full-text article views including HTML views, PDF and ePub downloads, according to the available data) and Abstracts Views on Vision4Press platform.
Data correspond to usage on the plateform after 2015. The current usage metrics is available 48-96 hours after online publication and is updated daily on week days.
Initial download of the metrics may take a while.