Free Access
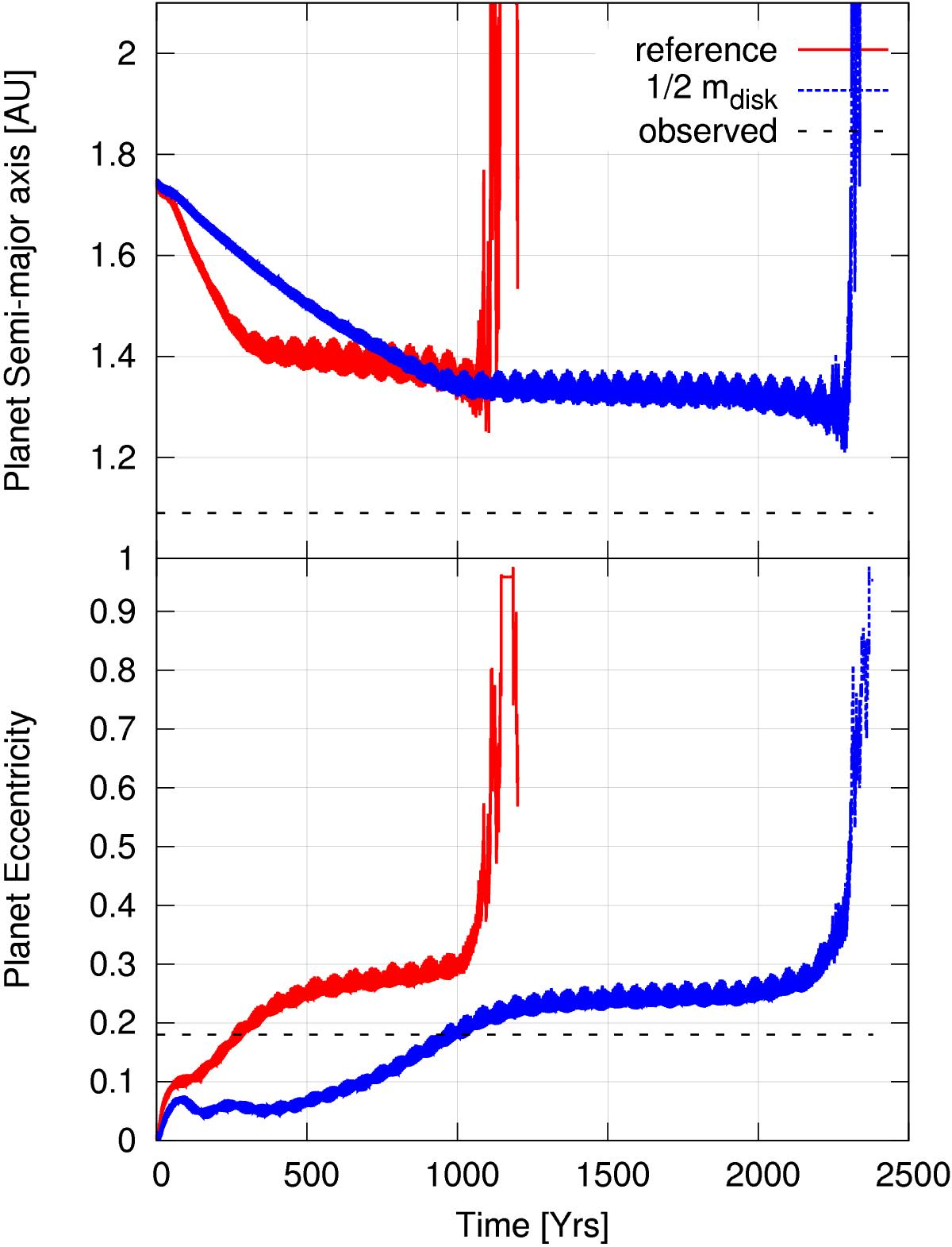
Fig. 7

Evolution of the semi-major axis (top) and eccentricity (bottom) of an embedded planet in isothermal disk models with half the disk mass. The red curve refers to the original model and is identical to the one shown in Fig. 6.
Current usage metrics show cumulative count of Article Views (full-text article views including HTML views, PDF and ePub downloads, according to the available data) and Abstracts Views on Vision4Press platform.
Data correspond to usage on the plateform after 2015. The current usage metrics is available 48-96 hours after online publication and is updated daily on week days.
Initial download of the metrics may take a while.