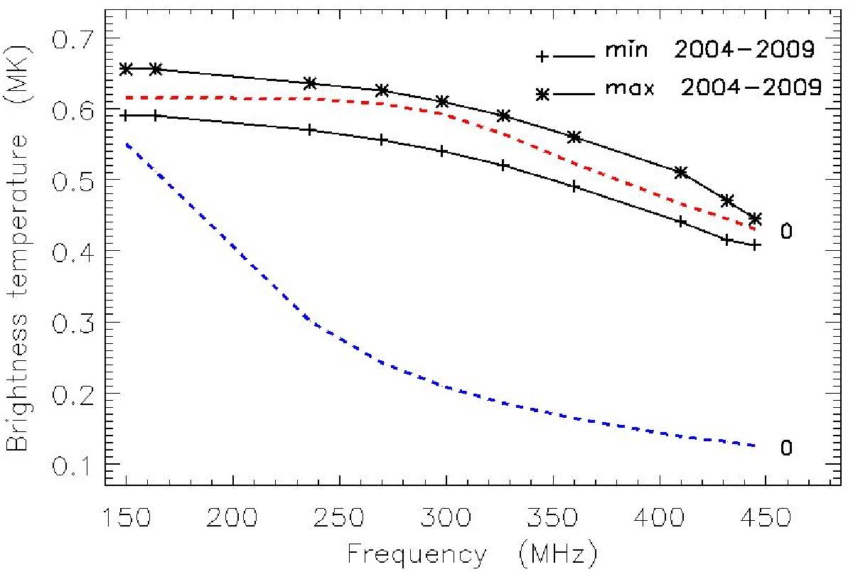
Fig. 11

Comparison between the range observed spectra on the disk in 2004–2009 (indicated by the black curves) and the predicted spectra for 2004 (red curve) and 2008–2009 (blue curve), assuming Te = 615 kK and TH = 1.5 MK.
Current usage metrics show cumulative count of Article Views (full-text article views including HTML views, PDF and ePub downloads, according to the available data) and Abstracts Views on Vision4Press platform.
Data correspond to usage on the plateform after 2015. The current usage metrics is available 48-96 hours after online publication and is updated daily on week days.
Initial download of the metrics may take a while.