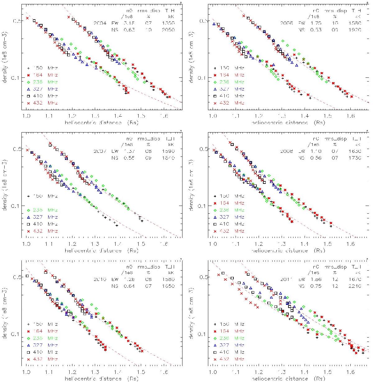
Fig. 6

Densities derived for years 2004–2011 from brightness measurements beyond the EW (top in each frame) and NS (bottom in each frame) limbs. The dashed lines are the best fits for density distributions in isothermal hydrostatic models. The corresponding densities at the base of the corona n0, with their relative rms dispersions σnEW and σnNS, and the hydrostatic temperatures TH are given for EW and NS density profiles.
Current usage metrics show cumulative count of Article Views (full-text article views including HTML views, PDF and ePub downloads, according to the available data) and Abstracts Views on Vision4Press platform.
Data correspond to usage on the plateform after 2015. The current usage metrics is available 48-96 hours after online publication and is updated daily on week days.
Initial download of the metrics may take a while.