Free Access
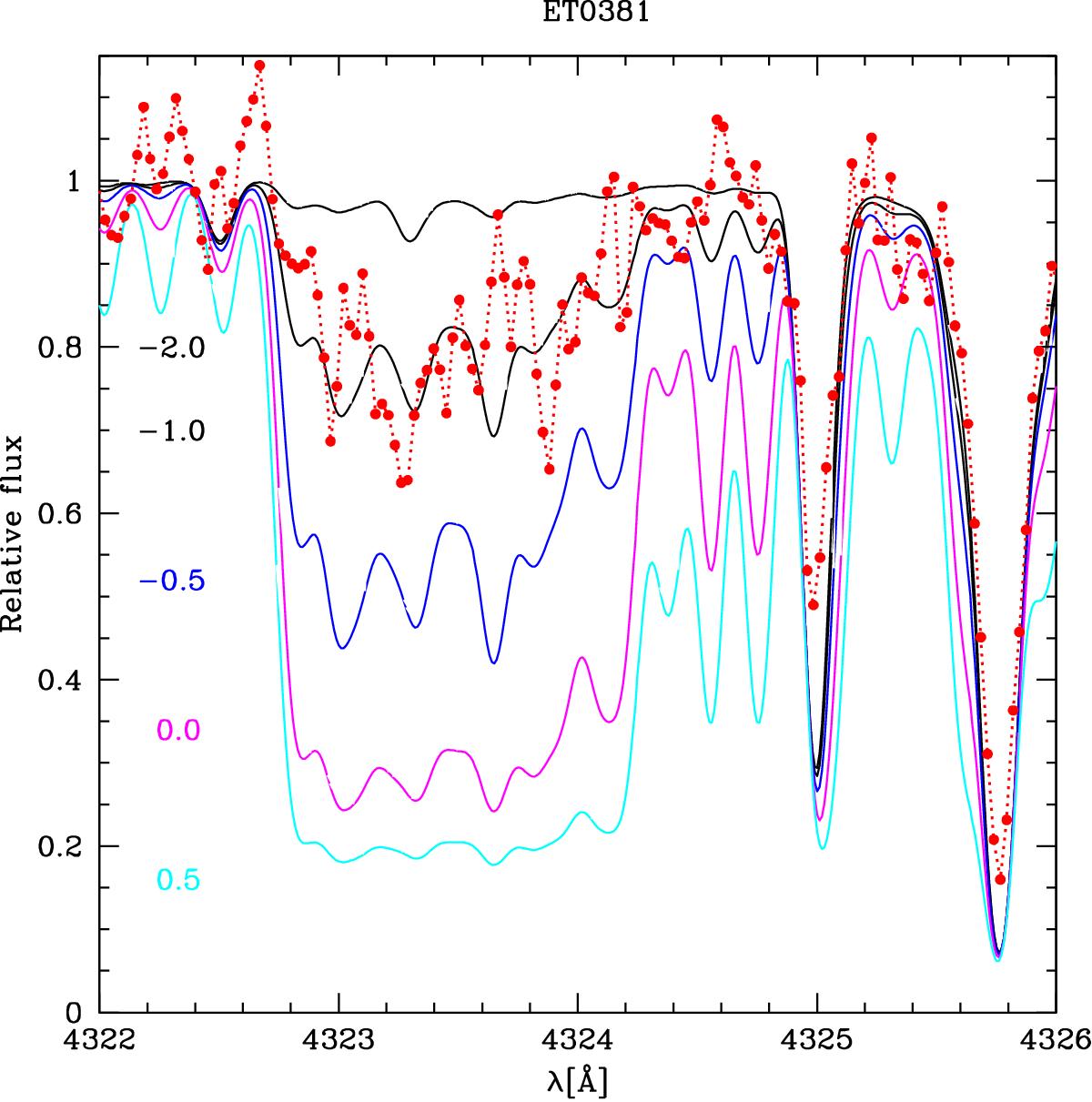
Fig. 5

Observed spectrum of ET0381 in a short spectral region of the molecular CH band. Synthetic spectra with [C/Fe]=−2.0 to + 0.5 are shown as well. The numbers indicated on the left are the corresponding [C/Fe] values.
Current usage metrics show cumulative count of Article Views (full-text article views including HTML views, PDF and ePub downloads, according to the available data) and Abstracts Views on Vision4Press platform.
Data correspond to usage on the plateform after 2015. The current usage metrics is available 48-96 hours after online publication and is updated daily on week days.
Initial download of the metrics may take a while.