Free Access
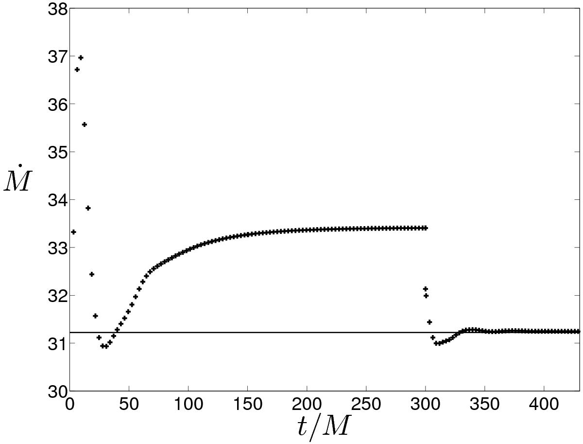
Fig. 30

Mass accretion rate plot for a perturbed density flow onto a non-spinning black hole which recieves a kick at time t = 300M, increasing its spin to a = 0.9. The solid line shows the final mass accretion rate from the equivalent flow with a = 0.9 throughout.
Current usage metrics show cumulative count of Article Views (full-text article views including HTML views, PDF and ePub downloads, according to the available data) and Abstracts Views on Vision4Press platform.
Data correspond to usage on the plateform after 2015. The current usage metrics is available 48-96 hours after online publication and is updated daily on week days.
Initial download of the metrics may take a while.