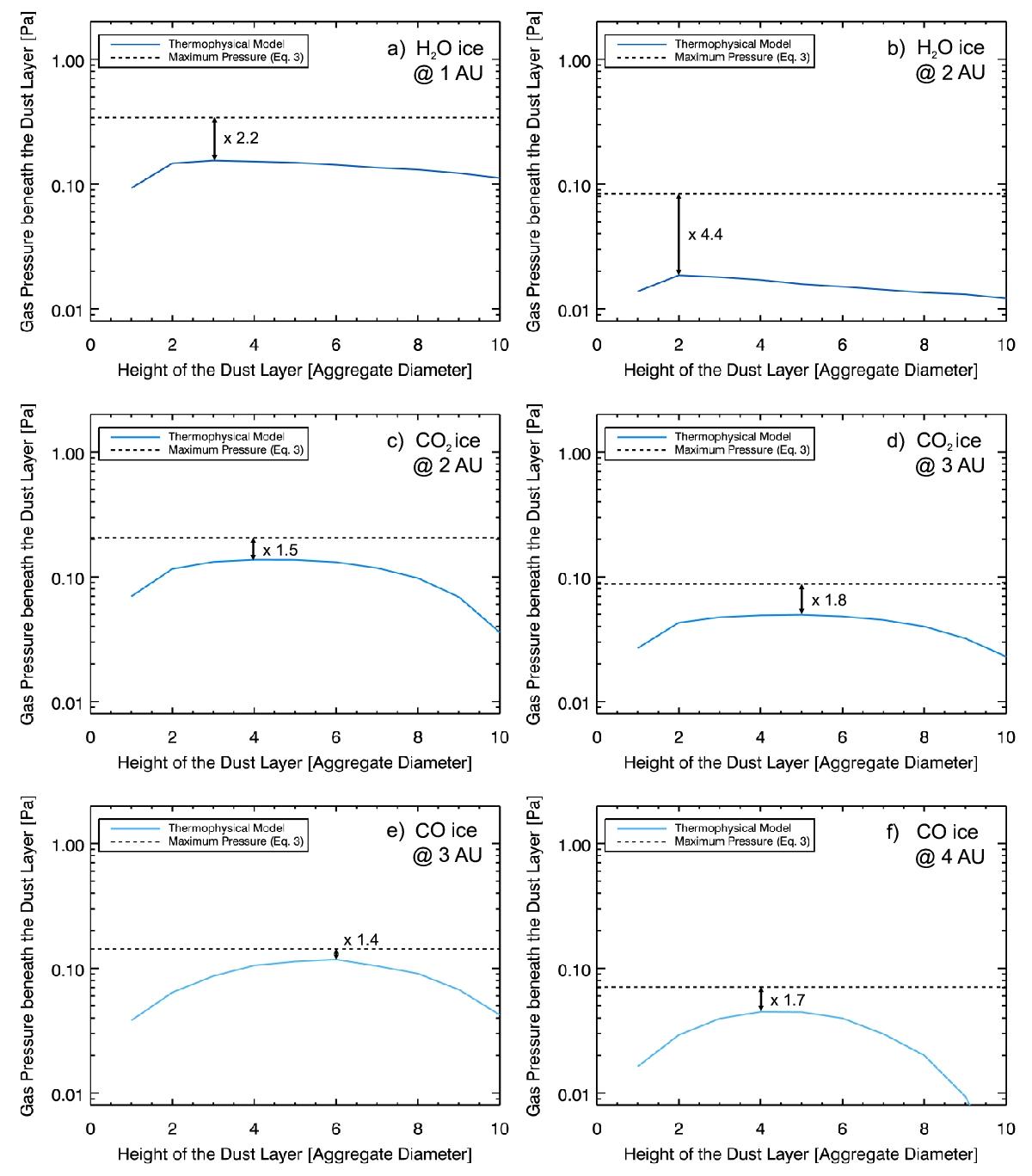
Fig. 1

Gas pressure beneath the covering dust layer as a function of the thickness of the dust layer (in units of the dust-aggregate diameter) at different heliocentric distances (between 1 AU and 4 AU) and for different volatile materials (H2O ice, CO2 ice and CO ice). The solid blue curves and the black dashed lines show the gas pressure derived by the thermophysical model and the approximation by Eq. (3), respectively. The temperatures of the ice surface at the peak of the pressure curves are 208.4 K (H2O ice at 1 AU), 196.3 K (H2O ice at 2 AU), 117.2 K (CO2 ice at 2 AU), 106.6 K (CO2 ice at 3 AU), 33.9 K (CO ice at 3 AU), and 32.8 K (CO ice at 4 AU). The deviation of the approximation from the highest pressures derived by the thermophysical model are denoted by the arrows. The sublimation pressure is calculated by ln(psub) = a − b/T, with the coefficients a = 3.23 × 1012 Pa and b = 6134.6 K taken from Gundlach et al. (2011) for H2O ice. For CO2 ice and CO ice the coefficients are a = 1.23 × 1012 Pa and b = 3167.8 K as well as a = 1.26 × 109 Pa and b = 764.2 K, respectively (Fanale & Salvail 1990). We used a Bond albedo of 0.04 for the calculations (the geometric albedo of comet 67P/Churyumov-Gerasimenko is 0.05; Sierks et al. 2015).
Current usage metrics show cumulative count of Article Views (full-text article views including HTML views, PDF and ePub downloads, according to the available data) and Abstracts Views on Vision4Press platform.
Data correspond to usage on the plateform after 2015. The current usage metrics is available 48-96 hours after online publication and is updated daily on week days.
Initial download of the metrics may take a while.