Free Access
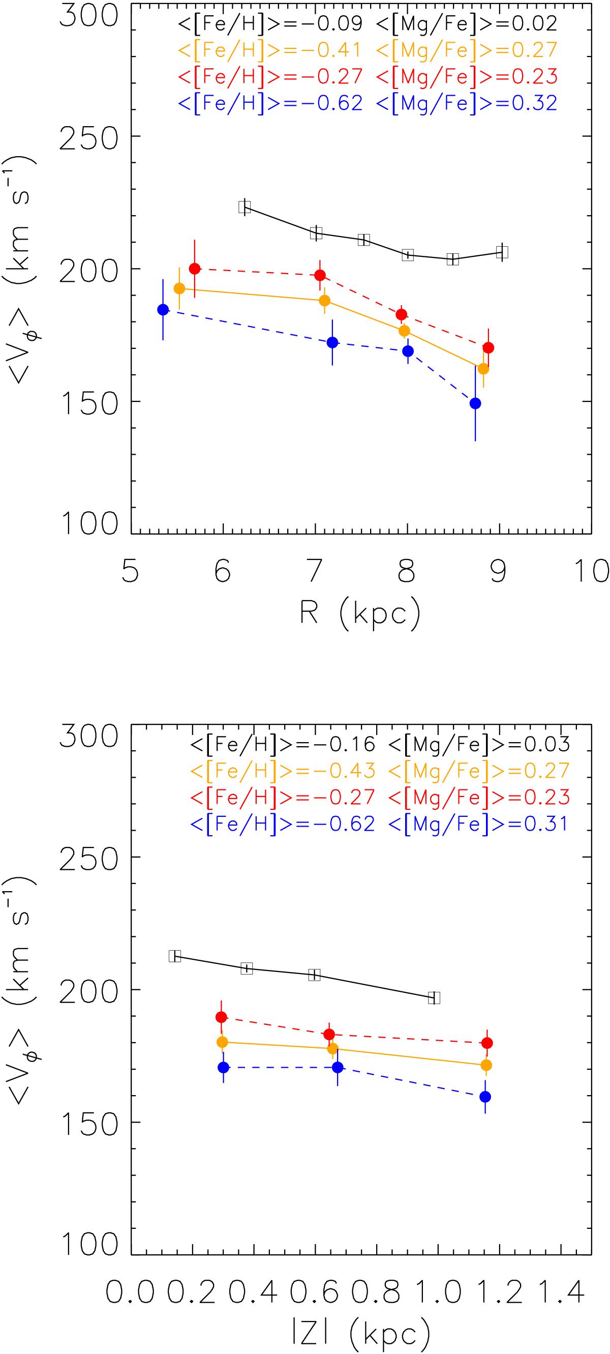
Fig. 13

Top: mean azimuthal velocity ⟨ Vφ ⟩ as a function of the Galactic radius. Bottom: ⟨ Vφ ⟩ as a function of the height to the Galactic plane. The symbols and colours are the same as in Fig. 11. The error bars correspond to the standard error on the mean velocity.
Current usage metrics show cumulative count of Article Views (full-text article views including HTML views, PDF and ePub downloads, according to the available data) and Abstracts Views on Vision4Press platform.
Data correspond to usage on the plateform after 2015. The current usage metrics is available 48-96 hours after online publication and is updated daily on week days.
Initial download of the metrics may take a while.