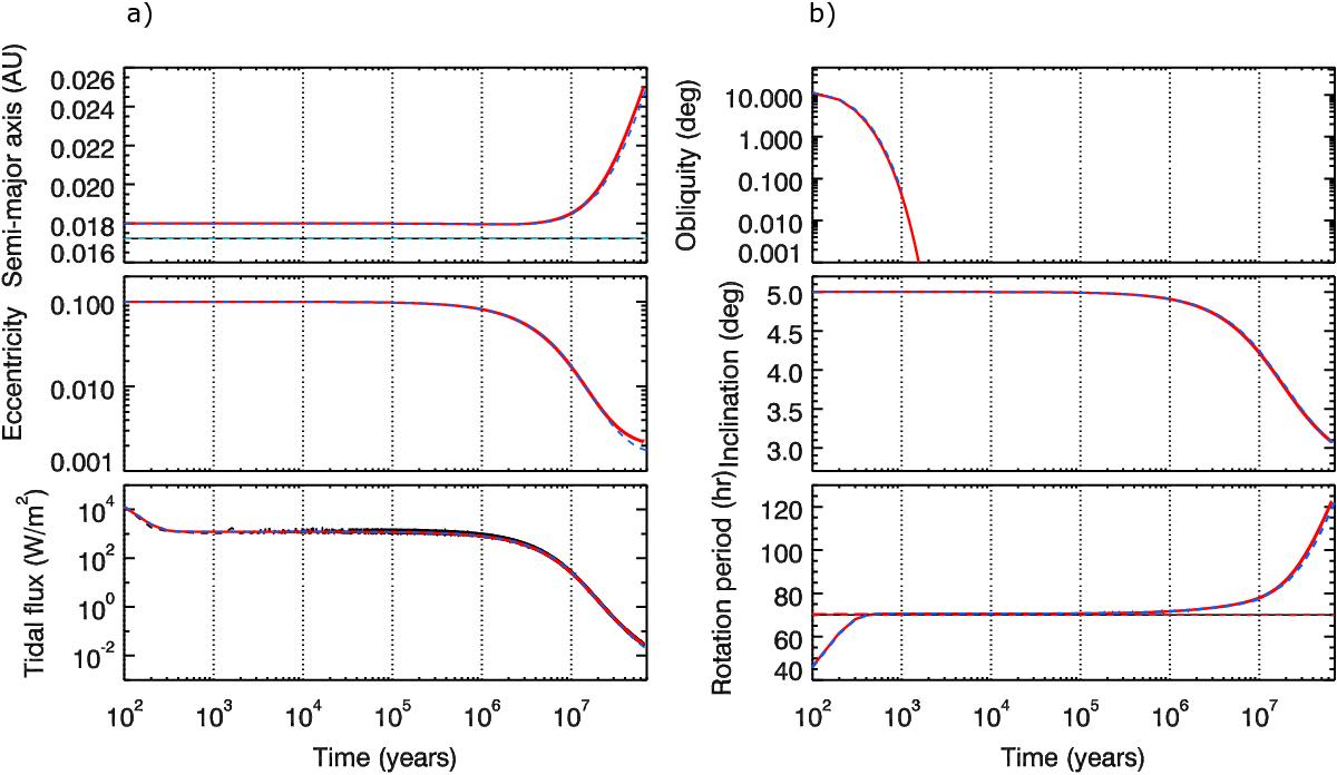
Fig. 4

Case (3): tidal evolution of a planet of mass 1 M⊕ orbiting a 0.08 M⊙ BD calculated with the secular code (blue dashed line) and the Mercury-Tcode (full red line). Graph a) from top to bottom: evolution of semi-major axis (in red) and of the corotation distance (in black), evolution of eccentricity and evolution of tidal heat flux. Graph b) from top to bottom: evolution of the obliquity of the planet, evolution of its inclination and evolution of its rotation period (in red) and the BD rotation period (in black). The pseudo-synchronization period is represented in long red dashes.
Current usage metrics show cumulative count of Article Views (full-text article views including HTML views, PDF and ePub downloads, according to the available data) and Abstracts Views on Vision4Press platform.
Data correspond to usage on the plateform after 2015. The current usage metrics is available 48-96 hours after online publication and is updated daily on week days.
Initial download of the metrics may take a while.