Free Access
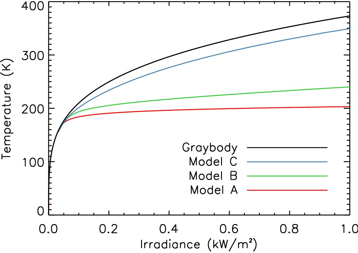
Fig. 4

Surface temperature as function of the irradiance for a gray body and models A to C. Model A represents the lower limit for the temperature of an active surface. The temperatures of model C come close to that of an inactive gray body.
Current usage metrics show cumulative count of Article Views (full-text article views including HTML views, PDF and ePub downloads, according to the available data) and Abstracts Views on Vision4Press platform.
Data correspond to usage on the plateform after 2015. The current usage metrics is available 48-96 hours after online publication and is updated daily on week days.
Initial download of the metrics may take a while.