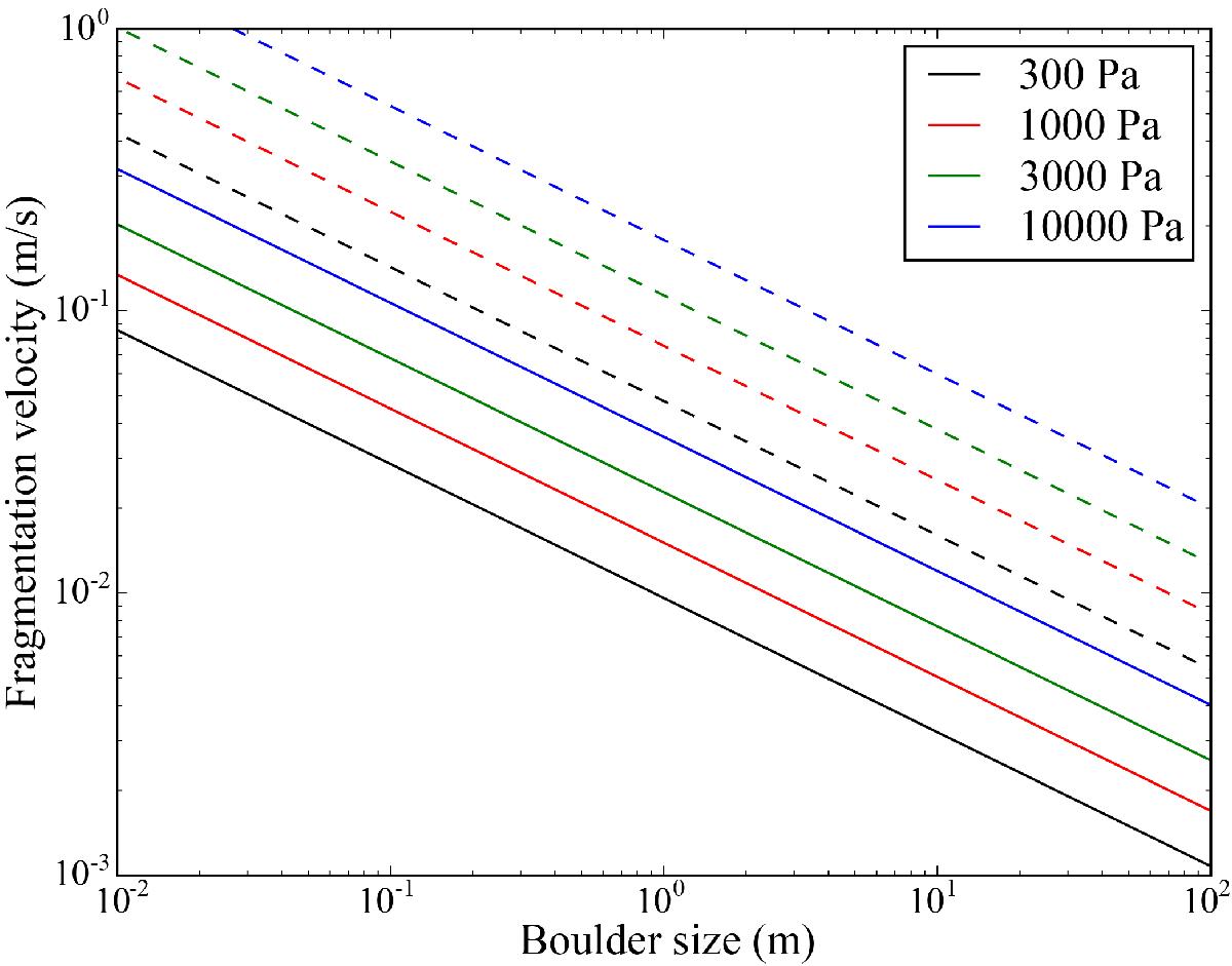
Fig. 6

Fragmentation velocity as a function of the boulder size for a range of reasonable tensile strengths based on Eq. (2). The solid lines show the onset of fragmentation (μ = 1.0, where μ is the fragmentation strength), while the dashed lines show what is generally referred to as catastrophic fragmentation (μ = 0.5), i.e., where the boulder breaks into many pieces, the largest of which contains half of the boulder’s original mass.
Current usage metrics show cumulative count of Article Views (full-text article views including HTML views, PDF and ePub downloads, according to the available data) and Abstracts Views on Vision4Press platform.
Data correspond to usage on the plateform after 2015. The current usage metrics is available 48-96 hours after online publication and is updated daily on week days.
Initial download of the metrics may take a while.