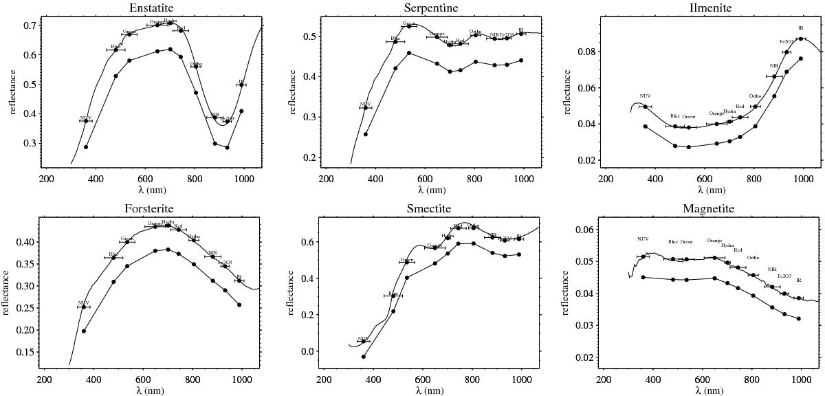
Fig. 1

Absolute spectra of anhydrous silicates (enstatite, forsterite) in the left panel, hydrated silicates (serpentine, smectite) in the middle panel, and oxides (ilmenite, magnetite) in the right panel as they would be observed through the full set of OSIRIS NAC filters. The solid lines above are laboratory data of the corresponding mineral with the central wavelengths of the NAC filters (dots) including their bandwidths (horizontal bars), while resampled laboratory data are arbitrarily (lowered by 1/8 compared to the maxima) offset for display.
Current usage metrics show cumulative count of Article Views (full-text article views including HTML views, PDF and ePub downloads, according to the available data) and Abstracts Views on Vision4Press platform.
Data correspond to usage on the plateform after 2015. The current usage metrics is available 48-96 hours after online publication and is updated daily on week days.
Initial download of the metrics may take a while.