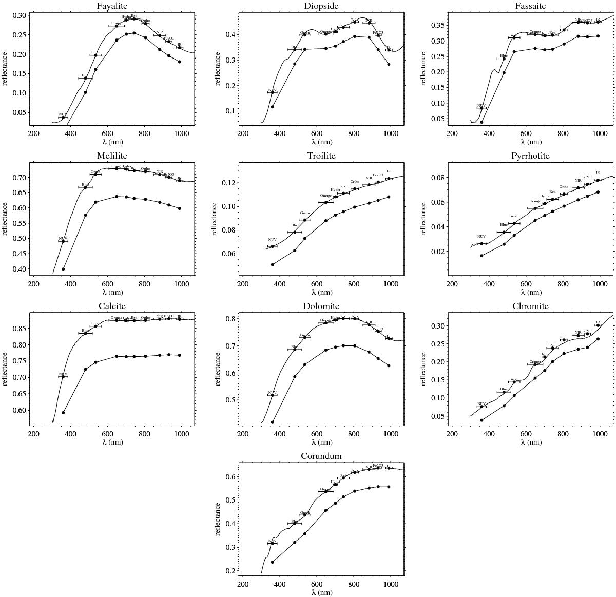
Fig. A.1

Absolute spectra of anhydrous silicates, hydrated silicates, sulfides, carbonates, and oxides as they would be observed through the full set of OSIRIS NAC filters. The solid lines above are laboratory data of the corresponding mineral, with the central wavelengths of NAC (dots) and with their bandwidths (horizontal bars), while resampled laboratory data are arbitrarily (lowered by 1/8 of the maxima) offset for display.
Current usage metrics show cumulative count of Article Views (full-text article views including HTML views, PDF and ePub downloads, according to the available data) and Abstracts Views on Vision4Press platform.
Data correspond to usage on the plateform after 2015. The current usage metrics is available 48-96 hours after online publication and is updated daily on week days.
Initial download of the metrics may take a while.