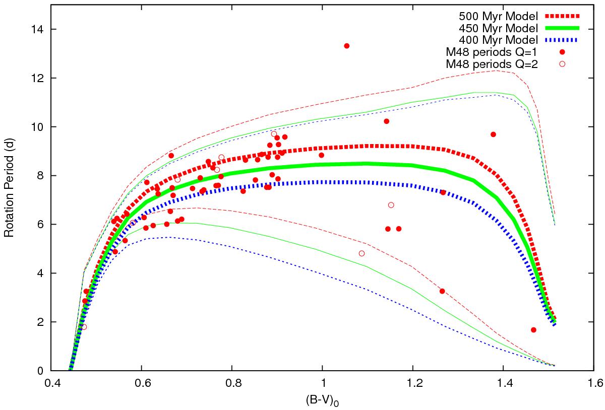
Fig. 11

CPD for M 48 compared with younger (400 Myr; dotted, blue online) and older (500 Myr; dashed, red online) rotational isochrones. Neither the 400 Myr nor the 500 Myr isochrone provide a good match to the data, passing significantly below or above the core group of stars with 0.6 < (B − V)0< 0.9. The cluster’s rotational age is clearly within this (400, 500) Myr interval. (For clarity, the (central) P0 = 1.1 d isochrones for the three separate ages are emphasized.)
Current usage metrics show cumulative count of Article Views (full-text article views including HTML views, PDF and ePub downloads, according to the available data) and Abstracts Views on Vision4Press platform.
Data correspond to usage on the plateform after 2015. The current usage metrics is available 48-96 hours after online publication and is updated daily on week days.
Initial download of the metrics may take a while.