Free Access
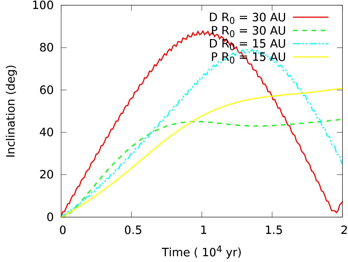
Fig. 5

Comparison of the planet and disk inclination evolution in the standard case, where the disk extends to 30 au and a model with a smaller disk extends to 15 au. No warping is expected in the latter case, but the planet decouples from the disk as in our standard case with a larger disk.
Current usage metrics show cumulative count of Article Views (full-text article views including HTML views, PDF and ePub downloads, according to the available data) and Abstracts Views on Vision4Press platform.
Data correspond to usage on the plateform after 2015. The current usage metrics is available 48-96 hours after online publication and is updated daily on week days.
Initial download of the metrics may take a while.