Free Access
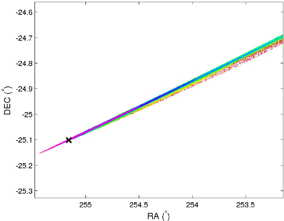
Fig. 3

RA and Dec of test particles for the trail of 67P/Churyumov-Gerasimenko on 9 April 2006. Each color represents a different mass bin: the smallest grains are red; the largest are magenta.
Current usage metrics show cumulative count of Article Views (full-text article views including HTML views, PDF and ePub downloads, according to the available data) and Abstracts Views on Vision4Press platform.
Data correspond to usage on the plateform after 2015. The current usage metrics is available 48-96 hours after online publication and is updated daily on week days.
Initial download of the metrics may take a while.