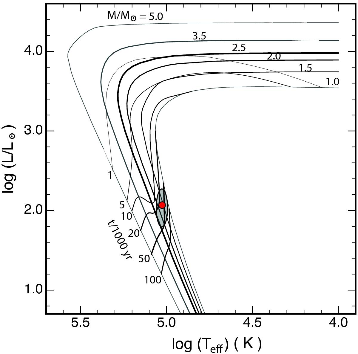
Fig. 6

Position of the exciting star of PN G342.0-01.7 is marked as a red circle as derived from photoionisation modelling compared with evolutionary tracks of central stars of PNe from Vassiliadis & Wood (1993). The grey area represents the error ellipse defined by the uncertainties in the flux and distance estimates, and by the uncertainties in the theoretical modelling. Note that the tracks are marked in terms of the initial stellar mass, rather than of the remnant core.
Current usage metrics show cumulative count of Article Views (full-text article views including HTML views, PDF and ePub downloads, according to the available data) and Abstracts Views on Vision4Press platform.
Data correspond to usage on the plateform after 2015. The current usage metrics is available 48-96 hours after online publication and is updated daily on week days.
Initial download of the metrics may take a while.