Free Access
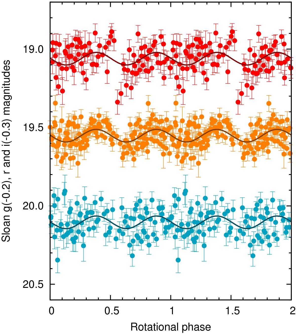
Fig. 2

Folded optical light curves of 2013 AZ60 using photometric data taken on six subsequent nights of 2013 November 4–9. Note that the folding frequency is related to the preferred double-peaked solution, n = (5.11/2) d-1. See text for further details.
Current usage metrics show cumulative count of Article Views (full-text article views including HTML views, PDF and ePub downloads, according to the available data) and Abstracts Views on Vision4Press platform.
Data correspond to usage on the plateform after 2015. The current usage metrics is available 48-96 hours after online publication and is updated daily on week days.
Initial download of the metrics may take a while.