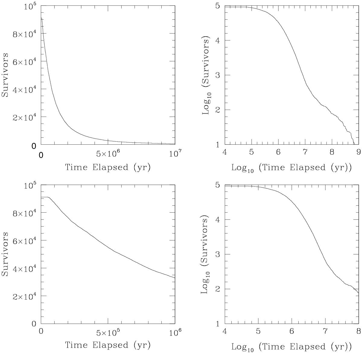
Fig. 5

Decay of our population of 91 125 clones of 2013 AZ60 as a function of the time elapsed in our integrations. The plots on the right show the same data as those on the left, but are plotted on a log/log scale. The upper panels show the decay of the population over the first billion years of the four billion year integrations, whilst the lower panels show the decay over the first million years.
Current usage metrics show cumulative count of Article Views (full-text article views including HTML views, PDF and ePub downloads, according to the available data) and Abstracts Views on Vision4Press platform.
Data correspond to usage on the plateform after 2015. The current usage metrics is available 48-96 hours after online publication and is updated daily on week days.
Initial download of the metrics may take a while.