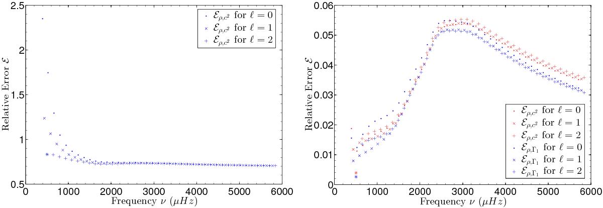
Fig. 1

Verification of Eq. (1) for a set of 120 modes with the · being the 40 radial modes, the × being the 40 dipolar modes and the + being the 40 quadrupolar modes. The left plot illustrates this verification for the (ρ,c2) couple when no scaling is applied to c2 whereas the right plot illustrates the same verification for the (ρ,c2) couple when scaling is applied to c2, as well as the (ρ,Γ1) couple where no scaling is needed.
Current usage metrics show cumulative count of Article Views (full-text article views including HTML views, PDF and ePub downloads, according to the available data) and Abstracts Views on Vision4Press platform.
Data correspond to usage on the plateform after 2015. The current usage metrics is available 48-96 hours after online publication and is updated daily on week days.
Initial download of the metrics may take a while.