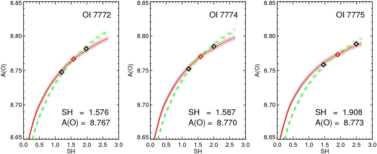
Fig. 5

Lines of constant equivalent width in the SH – A(O) plane, as computed from the grid of 3D non-LTE synthetic line profiles for the three triplet components. The thick (red) solid line refers to the EW measured in the Neckel disk-center spectrum, while the thick (green) dashed line is for the measured EW in the Neckel disk-integrated (flux) spectrum. The solution (SH, A(O)) given in the legend is defined by the intersection point of the two lines (red diamond). The black diamonds define the uncertainty range of the solution, assuming an EW measurement error of ≈0.5%, as indicated by the thin lines offset from the original SH – A(O) relations by ± ΔA(O) = 0.0025.
Current usage metrics show cumulative count of Article Views (full-text article views including HTML views, PDF and ePub downloads, according to the available data) and Abstracts Views on Vision4Press platform.
Data correspond to usage on the plateform after 2015. The current usage metrics is available 48-96 hours after online publication and is updated daily on week days.
Initial download of the metrics may take a while.