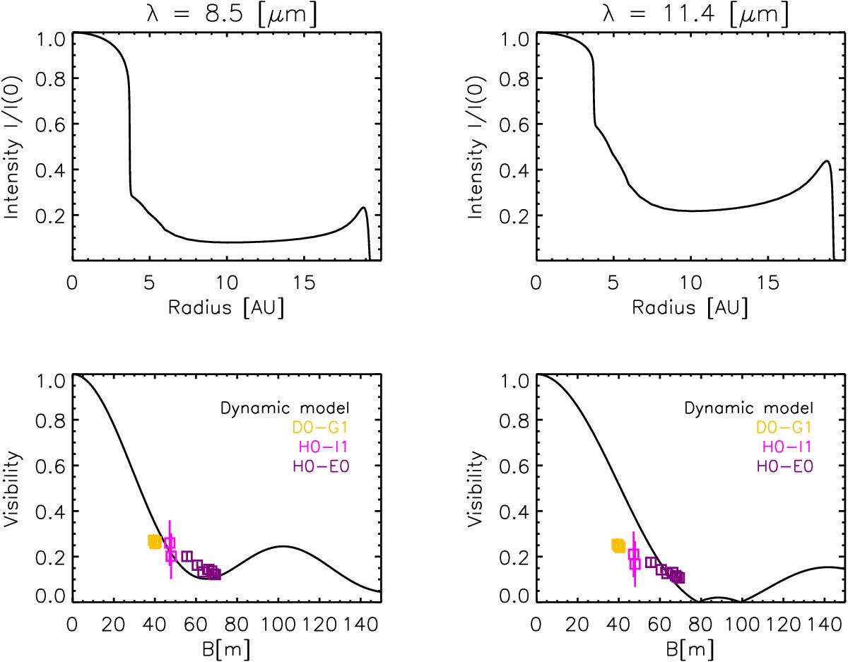
Fig. 11

Comparison of interferometric observational data for RU Vir with the modelling results based on the DMA that best-fit the visibilities. Top: intensity profile at two different wavelengths: 8.5 μm and 11.4 μm. Bottom: visibility vs. baseline; the black line shows the dynamic model, and the coloured symbols illustrate the MIDI measurements at different baselines configurations.
Current usage metrics show cumulative count of Article Views (full-text article views including HTML views, PDF and ePub downloads, according to the available data) and Abstracts Views on Vision4Press platform.
Data correspond to usage on the plateform after 2015. The current usage metrics is available 48-96 hours after online publication and is updated daily on week days.
Initial download of the metrics may take a while.