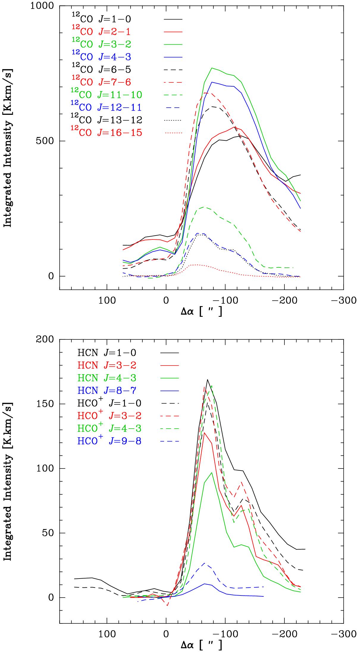
Fig. 5

Strip lines of the velocity integrated intensities of all the 12CO (top) and the HCN and HCO+ (bottom) lines we have mapped so far, at the same declination Δδ = 30′′ (PA 90°) across the ionization front of M17 SW. The 12CO J = 7 → 6 and J = 6 → 5 are from Pérez-Beaupuits et al. (2010), the 12CO J = 13 → 12 is from Pérez-Beaupuits et al. (2012), while 12CO J = 2 → 1 and J = 1 → 0 are from Pérez-Beaupuits et al. (2015). The rest of the lines are from this work. All maps were convolved to a 25′′ beam to match the resolution of the 12CO J = 11 → 10 map. The X-axis corresponds to the actual offset in RA of the maps shown in Figs. 1–3. The offset, Δα = 0′′ in RA, corresponds to the reference illuminating star SAO 161357.
Current usage metrics show cumulative count of Article Views (full-text article views including HTML views, PDF and ePub downloads, according to the available data) and Abstracts Views on Vision4Press platform.
Data correspond to usage on the plateform after 2015. The current usage metrics is available 48-96 hours after online publication and is updated daily on week days.
Initial download of the metrics may take a while.