Free Access
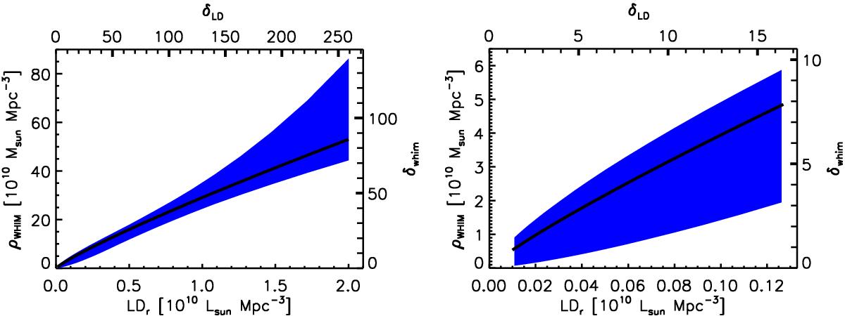
Fig. 5

Power-law approximation of the relation between the luminosity density (LDr) and the WHIM density (ρwhim) within the galaxy filaments in the simulations of C12 (solid line), and the 1σ uncertainty interval (blue region). The left-hand panel shows the full fitted LD range and the right-hand panel shows the δb ~ 1−10 range.
This figure is made of several images, please see below:
Current usage metrics show cumulative count of Article Views (full-text article views including HTML views, PDF and ePub downloads, according to the available data) and Abstracts Views on Vision4Press platform.
Data correspond to usage on the plateform after 2015. The current usage metrics is available 48-96 hours after online publication and is updated daily on week days.
Initial download of the metrics may take a while.