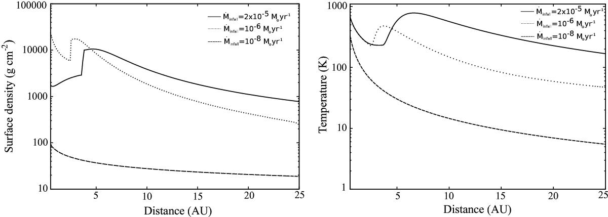
Fig. 2

Disk surface density (left panel) and temperature (right panel) for Ṁinfall = 2 × 10-5 M⊙ yr-1 (at a time just before an outburst), 10-6 M⊙ yr-1 (at a time between outbursts), and Ṁinfall = 10-8M⊙ yr-1 (in steady state). The thermal gradient reversal observable in the right panel is the main element of the disk model. We use Ṁinfall = 1 × 10-6 M⊙ yr-1 as our nominal disk model.
Current usage metrics show cumulative count of Article Views (full-text article views including HTML views, PDF and ePub downloads, according to the available data) and Abstracts Views on Vision4Press platform.
Data correspond to usage on the plateform after 2015. The current usage metrics is available 48-96 hours after online publication and is updated daily on week days.
Initial download of the metrics may take a while.