Free Access
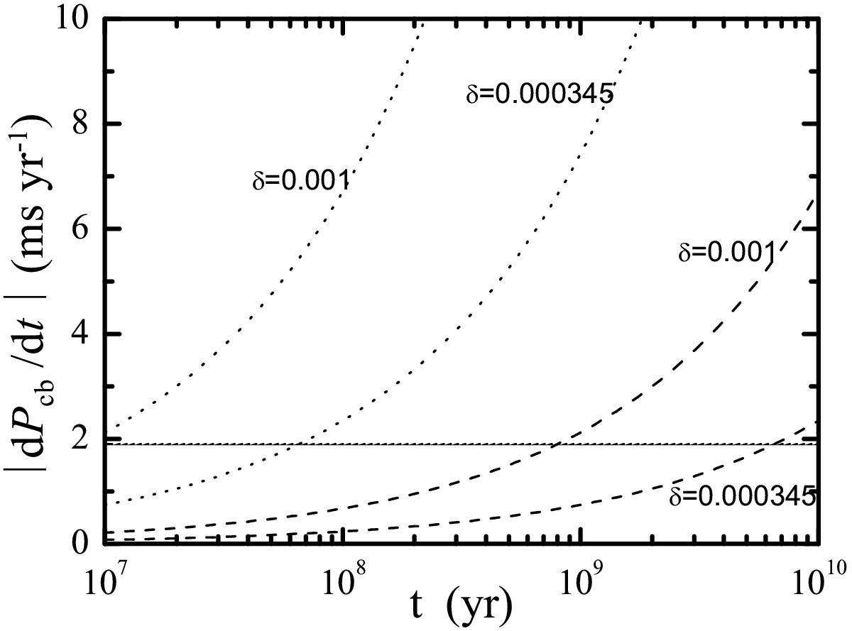
Fig. 2

Orbital-period change rate for XTE J1118+480 caused by a circumbinary disk as a function of the mass transfer timescale. The dashed and dotted curves correspond to the mass transfer rates of 10-9 and 10-8M⊙ yr-1, respectively. The horizontal solid line denotes the observed value of J1118+480.
Current usage metrics show cumulative count of Article Views (full-text article views including HTML views, PDF and ePub downloads, according to the available data) and Abstracts Views on Vision4Press platform.
Data correspond to usage on the plateform after 2015. The current usage metrics is available 48-96 hours after online publication and is updated daily on week days.
Initial download of the metrics may take a while.