Free Access
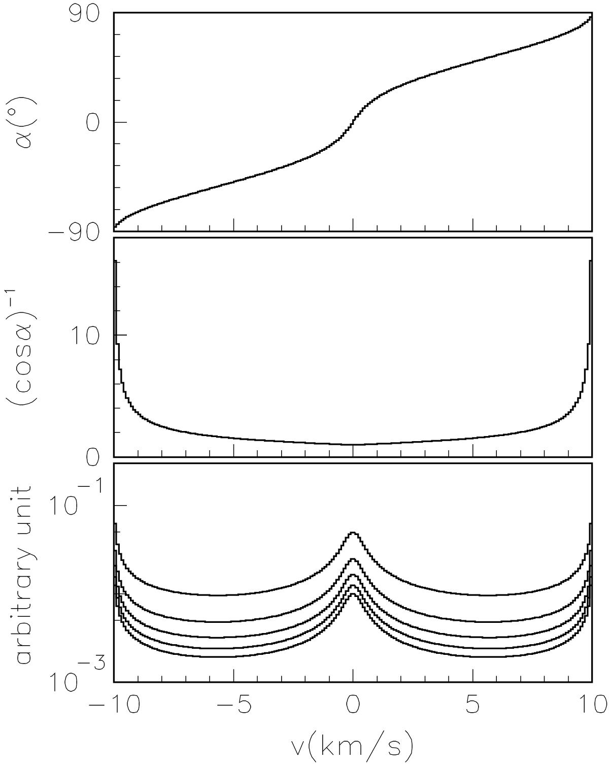
Fig. 4

Relation between the Doppler velocity Vx and the stellar latitude α (cf. Eq. (2), upper panel), the ratio r/R = 1/cosα (middle panel) for the simple star model described in the text. Lower panel: velocity spectra obtained for the same model at R = 1−5 (running downwards).
Current usage metrics show cumulative count of Article Views (full-text article views including HTML views, PDF and ePub downloads, according to the available data) and Abstracts Views on Vision4Press platform.
Data correspond to usage on the plateform after 2015. The current usage metrics is available 48-96 hours after online publication and is updated daily on week days.
Initial download of the metrics may take a while.