Free Access
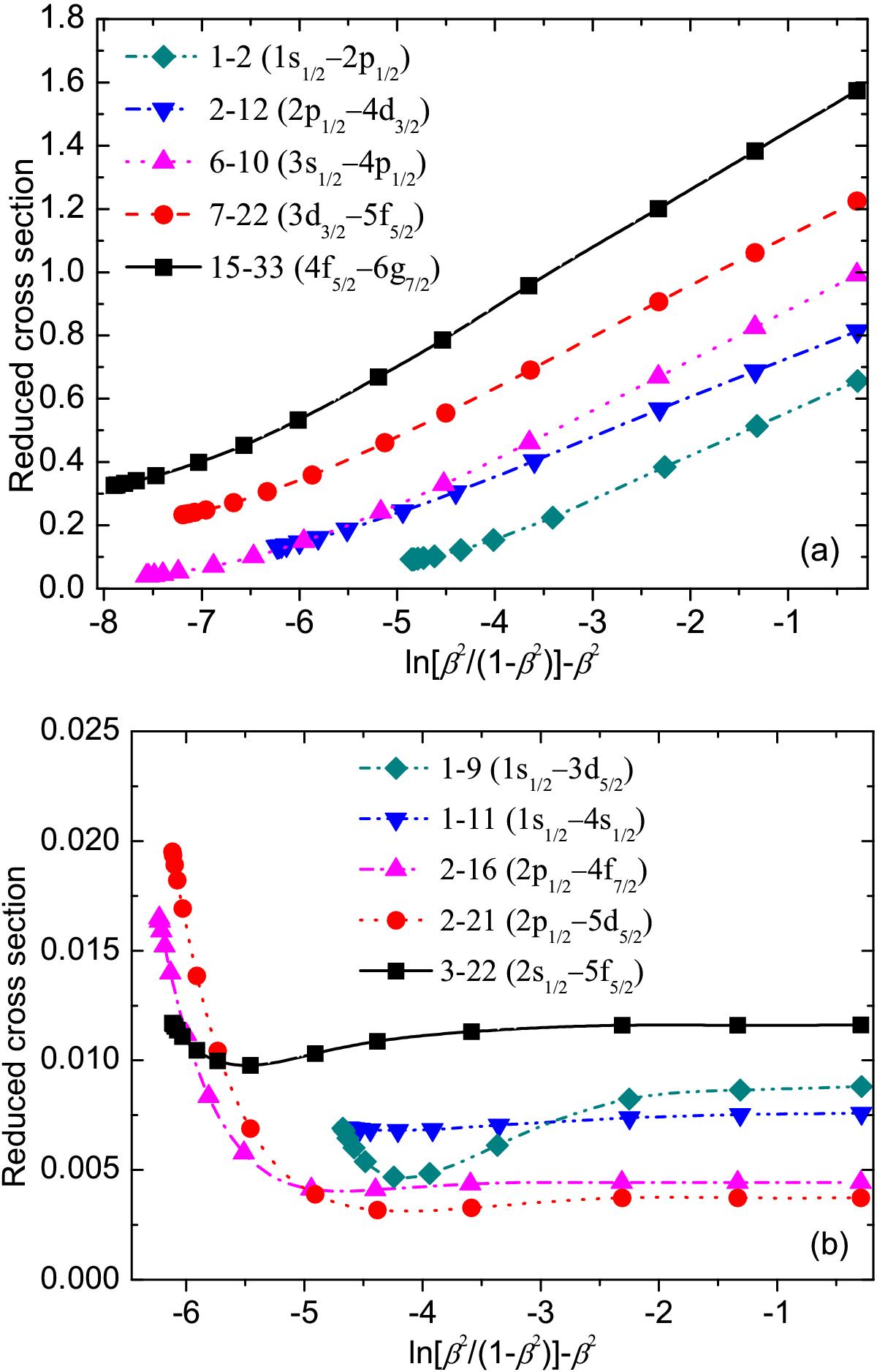
Fig. 1

Reduced excitation cross sections of some selected a) dipole-allowed and b) forbidden transitions in Si13+. The values at the three highest energies for each transition are obtained by the relativistic Bethe form. The scattered symbols are connected with splines.
This figure is made of several images, please see below:
Current usage metrics show cumulative count of Article Views (full-text article views including HTML views, PDF and ePub downloads, according to the available data) and Abstracts Views on Vision4Press platform.
Data correspond to usage on the plateform after 2015. The current usage metrics is available 48-96 hours after online publication and is updated daily on week days.
Initial download of the metrics may take a while.