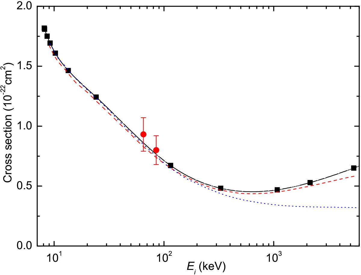
Fig. 2

Cross section in the high-energy region for 1s1/2 − 2p3/2 transition in Ni27+. Squares connected by splines show the present results. Values for the five highest energies are calculated by relativistic Bethe form. Dashed and dotted lines are the Møller-Kummer and Coulomb-Kummer results calculated in Bostock et al. (2013), respectively. Circles with error bars are experimental values from Thorn et al. (2009).
Current usage metrics show cumulative count of Article Views (full-text article views including HTML views, PDF and ePub downloads, according to the available data) and Abstracts Views on Vision4Press platform.
Data correspond to usage on the plateform after 2015. The current usage metrics is available 48-96 hours after online publication and is updated daily on week days.
Initial download of the metrics may take a while.