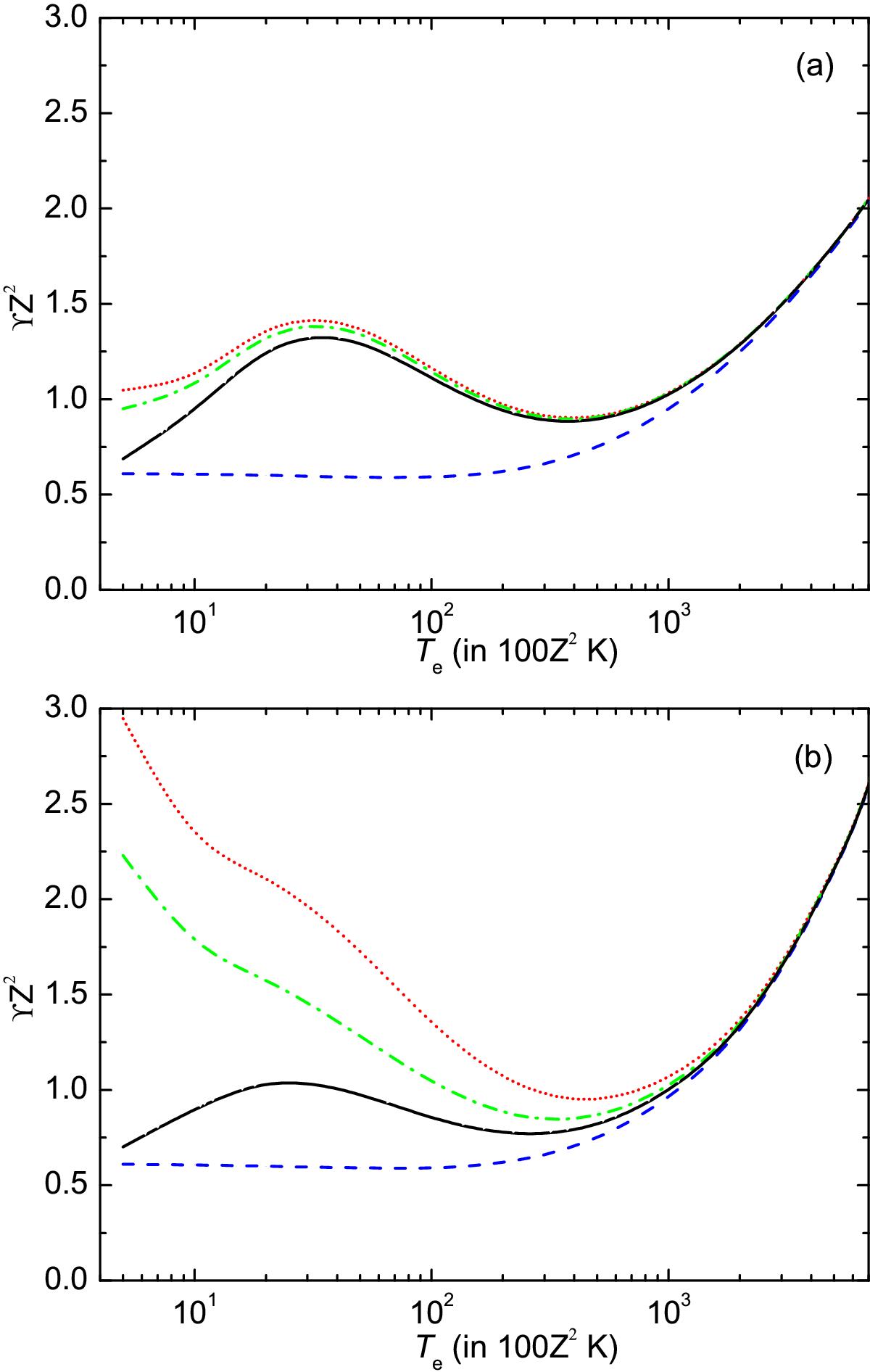
Fig. 3

Radiative damping effects on effective collision strength (ΥZ2) of 2−6(2p1/2 − 3s1/2) transition in a) Si13+ and b) Kr35+. The dashed line represents the direct excitation (DE) background contribution. The dotted line is undamped Υ results including the resonance excitation (RE) contribution. The dash-dotted line is damped results by resonant stabilizing (RS) transitions. The solid line stands for total Υ-values damped by both RS and DAC (Decays from the resonances into low-lying autoionizing levels possibly followed by autoionization cascade) transitions.
Current usage metrics show cumulative count of Article Views (full-text article views including HTML views, PDF and ePub downloads, according to the available data) and Abstracts Views on Vision4Press platform.
Data correspond to usage on the plateform after 2015. The current usage metrics is available 48-96 hours after online publication and is updated daily on week days.
Initial download of the metrics may take a while.