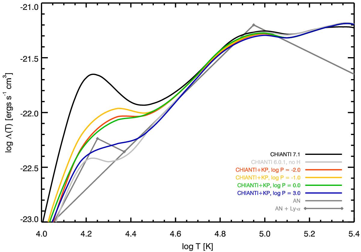
Fig. 1

Radiative loss function Λkp plotted for different pressure values (log P = −2, −1,0,3, red, yellow, green, and blue lines, respectively) and radiative loss function from the CHIANTI database, version 7.1 (Landi et al. 2013, black line). Moreover, we plot some of the radiative loss functions used in Paper I: Antiochos & Noci (AN, dark grey line, 1986); AN function plus a peak mimicking the H Ly-α losses (dark grey line plus diamond symbols); from the CHIANTI database, version 6 (Dere et al. 2009), without the H contribution (light grey line).
Current usage metrics show cumulative count of Article Views (full-text article views including HTML views, PDF and ePub downloads, according to the available data) and Abstracts Views on Vision4Press platform.
Data correspond to usage on the plateform after 2015. The current usage metrics is available 48-96 hours after online publication and is updated daily on week days.
Initial download of the metrics may take a while.