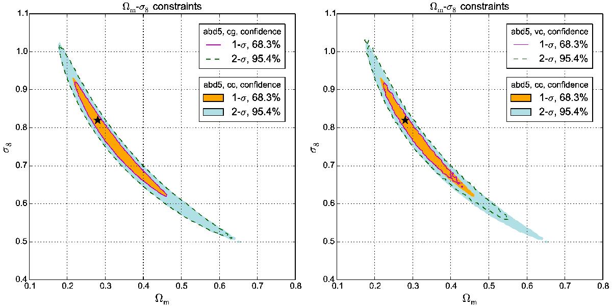
Fig. 5

Confidence regions derived from copula analyses. Left panel: comparison between contours from Lcg (solid and dashed lines) and Lcc (colored areas). Right panel: comparison between contours from Lcc (colored areas) and Lvc (solid and dashed lines). The evolution tendency from Lcc to Lvc is similar to the evolution from Lcg to Lvg.
Current usage metrics show cumulative count of Article Views (full-text article views including HTML views, PDF and ePub downloads, according to the available data) and Abstracts Views on Vision4Press platform.
Data correspond to usage on the plateform after 2015. The current usage metrics is available 48-96 hours after online publication and is updated daily on week days.
Initial download of the metrics may take a while.