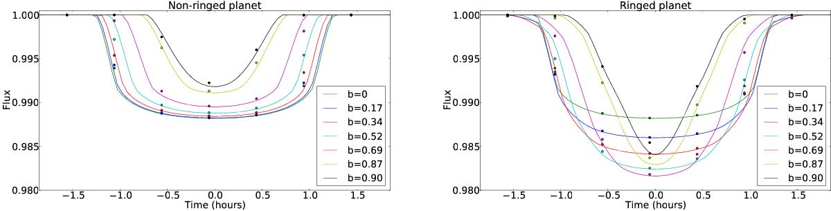
Fig. 5

Synthetic light curves simulating the light curves of transiting planets with (right) and without rings (left). The parameters of each planet are denoted in the inset. Dots correspond to data binned with a 30-min cadence similar to long cadence of Kepler. Different system inclinations are used. In all the simulations, the ring is considered to be coplanar with the orbital plane.
Current usage metrics show cumulative count of Article Views (full-text article views including HTML views, PDF and ePub downloads, according to the available data) and Abstracts Views on Vision4Press platform.
Data correspond to usage on the plateform after 2015. The current usage metrics is available 48-96 hours after online publication and is updated daily on week days.
Initial download of the metrics may take a while.