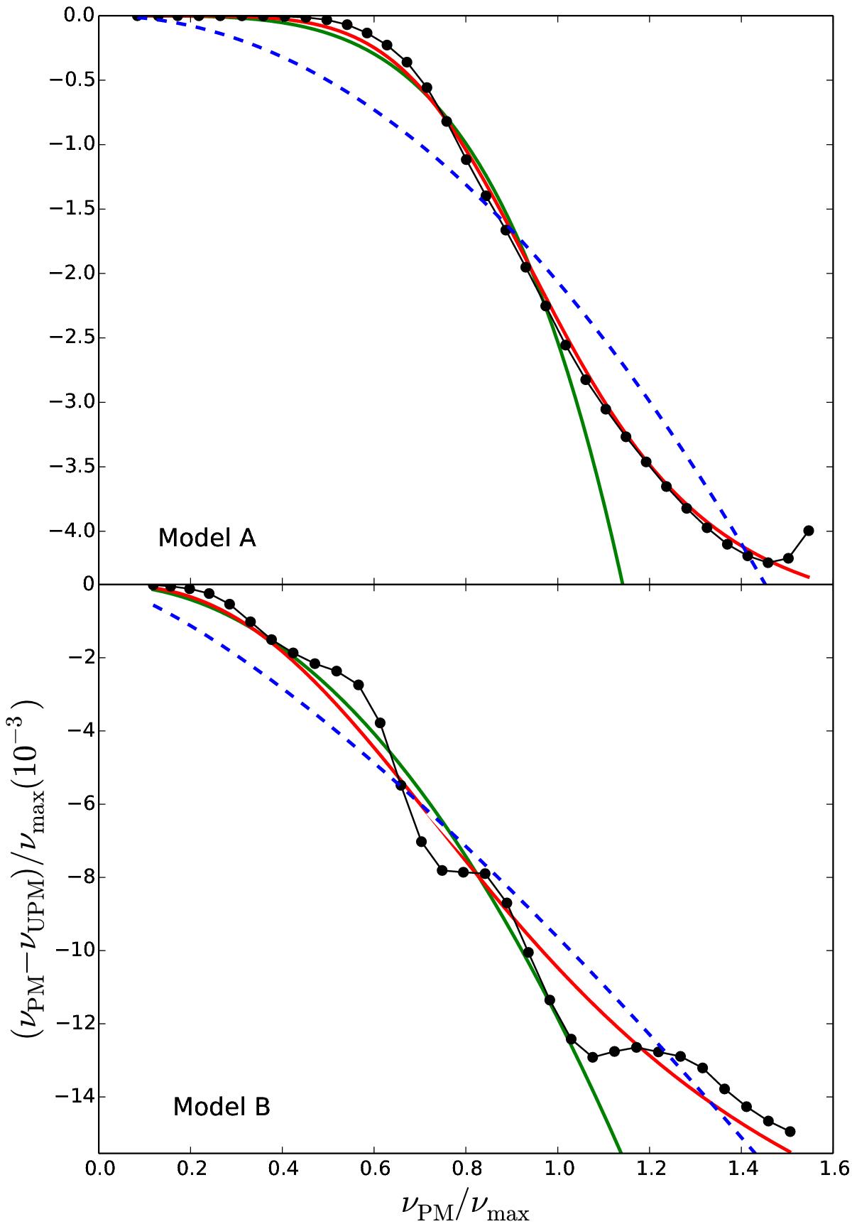
Fig. 3

Frequency differences of radial modes between PM and UPM divided by νmax as a function of νPM/νmax (black solid line with dots). The green full line and the blue dashed line are least-square fittings with the Kjeldsen et al. (2008) power law, a(νPM/νmax)b in the range 0 <ν/νmax< 1.05 and in the whole range, respectively. The red line shows the modified Lorentzian, α [1−1/ { 1 + (νPM/νmax)β }].
Current usage metrics show cumulative count of Article Views (full-text article views including HTML views, PDF and ePub downloads, according to the available data) and Abstracts Views on Vision4Press platform.
Data correspond to usage on the plateform after 2015. The current usage metrics is available 48-96 hours after online publication and is updated daily on week days.
Initial download of the metrics may take a while.