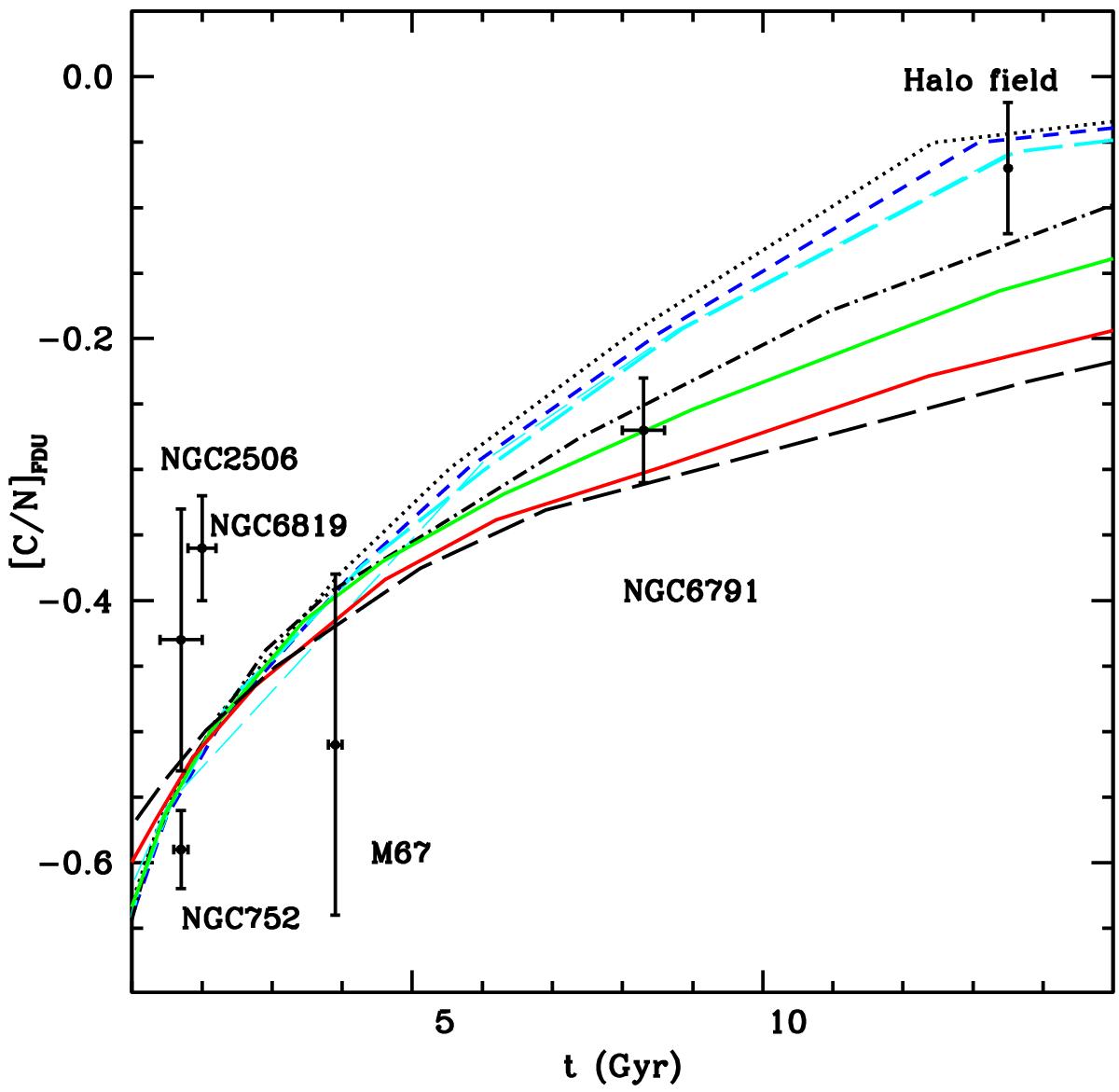
Fig. 2

Theoretical predictions for the run of [C/N] FDU as a function of age for selected metallicities. From top to bottom, at an age of 10 Gyr, [M/H] is equal to −2.27 (dotted line), −1.49 (short dashed), −1.27(long dashed), −0.66 (dot-dashed), −0.35 (thick solid), 0.06 (thin solid) and 0.26 dex (thin long dashed), respectively. Data for halo field stars and the labelled open clusters are also plotted (see text for details).
Current usage metrics show cumulative count of Article Views (full-text article views including HTML views, PDF and ePub downloads, according to the available data) and Abstracts Views on Vision4Press platform.
Data correspond to usage on the plateform after 2015. The current usage metrics is available 48-96 hours after online publication and is updated daily on week days.
Initial download of the metrics may take a while.