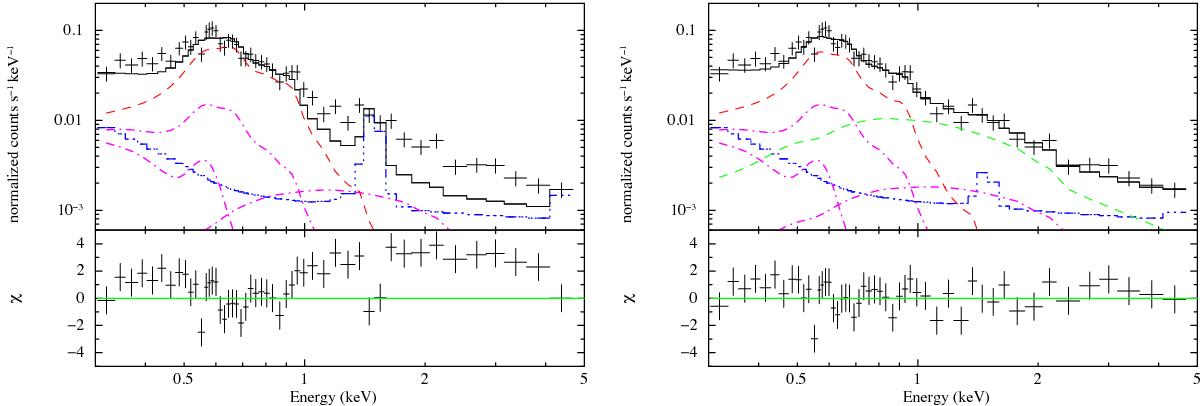
Fig. 4

XMM-Newton EPIC-pn spectrum of MCSNR J0512−6707 from Obs. ID 0741800201, shown alone for clarity. In each panel the best-fit model is given by the solid black line, the purple dash-dot lines mark the AXB components, the blue dash-dot-dot-dot line shows the combined contributions of the QPB, residual SPs, instrumental fluorescence lines, and electronic noise. Left: best-fit vapec model shown by the dashed red line. Right: best-fit vapec+powerlaw model shown by the dashed red line and dashed green line, respectively. The model fit parameters are given in Table 1. Note that the instrumental fluorescence line normalisations are free in each fit and adjust themselves according to the residuals at their respective energies.
Current usage metrics show cumulative count of Article Views (full-text article views including HTML views, PDF and ePub downloads, according to the available data) and Abstracts Views on Vision4Press platform.
Data correspond to usage on the plateform after 2015. The current usage metrics is available 48-96 hours after online publication and is updated daily on week days.
Initial download of the metrics may take a while.