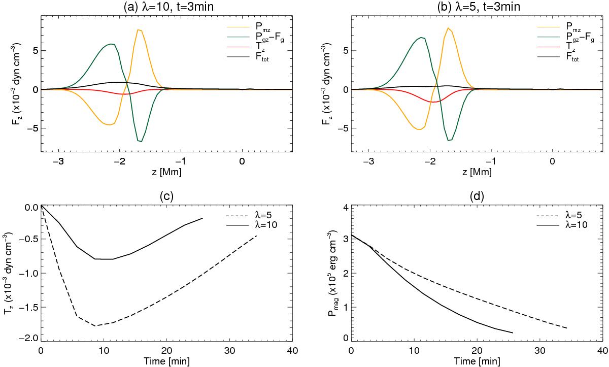
Fig. 10

First row: z component of the forces along the vertical direction (x = 0, y = 0) at t = 3 min, for a) λ = 10 and b) λ = 5. Second row: temporal evolution of c) z-component of the magnetic tension and d) magnetic pressure, measured at the center of the flux tubes. We plot the quantities until the flux tubes reach the photosphere.
Current usage metrics show cumulative count of Article Views (full-text article views including HTML views, PDF and ePub downloads, according to the available data) and Abstracts Views on Vision4Press platform.
Data correspond to usage on the plateform after 2015. The current usage metrics is available 48-96 hours after online publication and is updated daily on week days.
Initial download of the metrics may take a while.