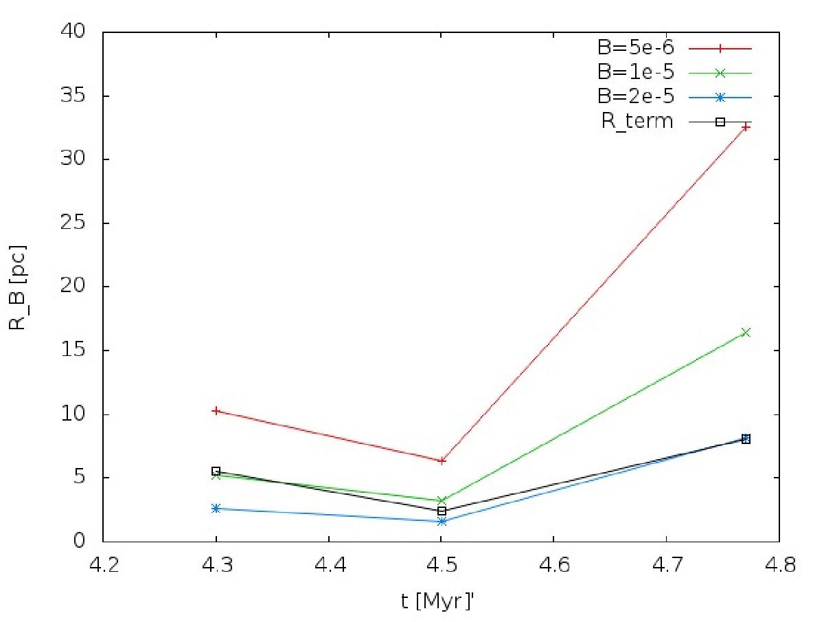
Fig. 4

Values for the wind termination shock obtained from simulation A (black) at the end of each evolutionary phase, compared to RB for the three magnetic field strengths. At 5 μG (red), the magnetic field can never stop the expansion of the circumstellar bubble perpendicular to the field and the 10 μG (green) field will do so, but only at the very end of the main sequence. The 20 μG (blue) field will stop expansion throughout most of the stellar evolution.
Current usage metrics show cumulative count of Article Views (full-text article views including HTML views, PDF and ePub downloads, according to the available data) and Abstracts Views on Vision4Press platform.
Data correspond to usage on the plateform after 2015. The current usage metrics is available 48-96 hours after online publication and is updated daily on week days.
Initial download of the metrics may take a while.