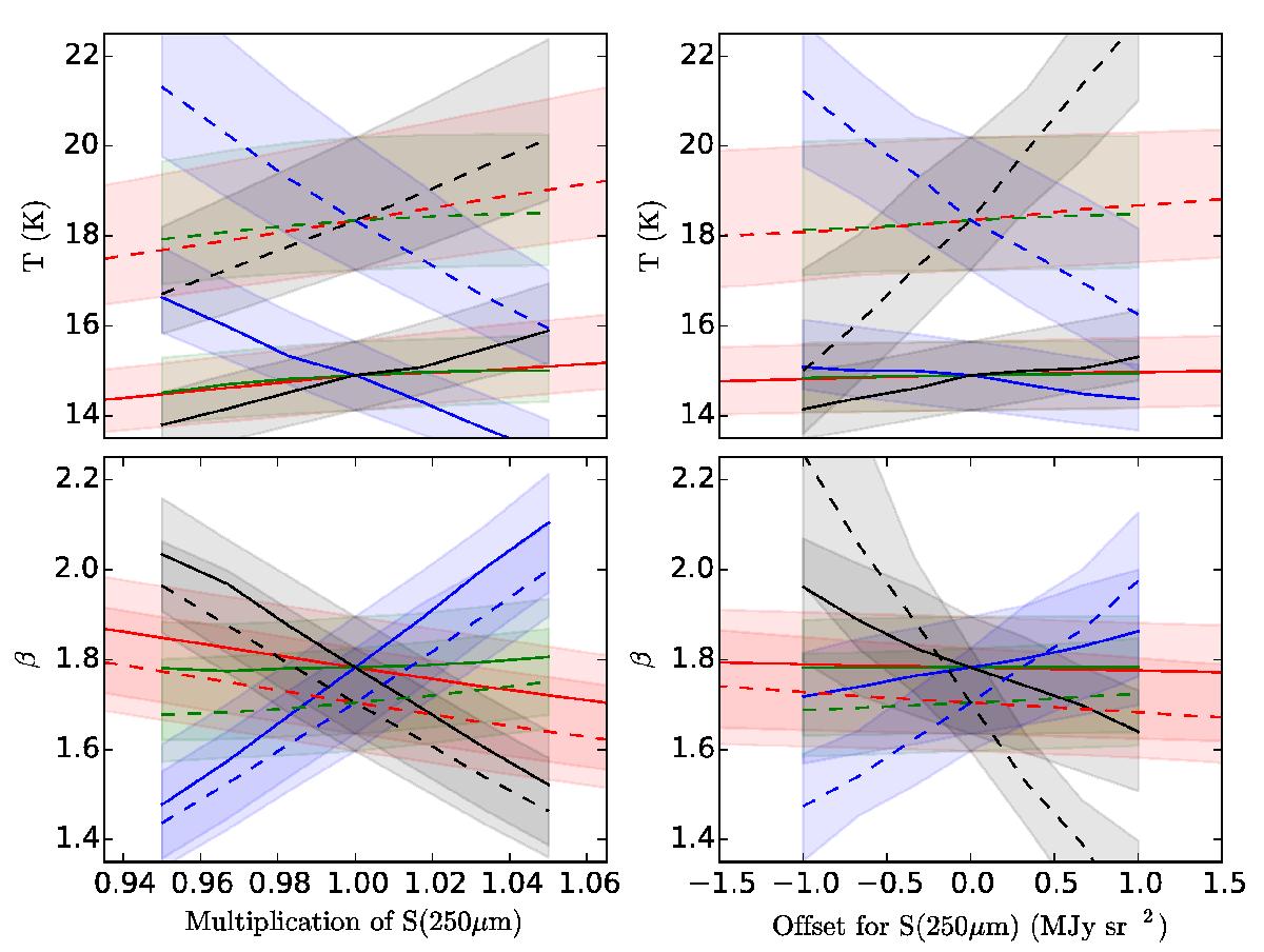
Fig. 12

Comparison of median colour temperature and spectral index values derived from Herschel 160–500 μm data for all pixels where modified blackbody fits with β = 1.8 yield colour temperatures within 20% of 14 K (solid lines) or 18 K (dashed lines). The lines show the dependence on potential multiplicative or additive errors in individual bands. The red, green, blue, and black colours correspond to the four bands in order of increasing wavelength. Assuming no errors (centre of x-axis), the median β is ~0.1 higher for the sample of cold pixels. The shaded regions indicate the field-to-field variation (interquartile ranges).
Current usage metrics show cumulative count of Article Views (full-text article views including HTML views, PDF and ePub downloads, according to the available data) and Abstracts Views on Vision4Press platform.
Data correspond to usage on the plateform after 2015. The current usage metrics is available 48-96 hours after online publication and is updated daily on week days.
Initial download of the metrics may take a while.