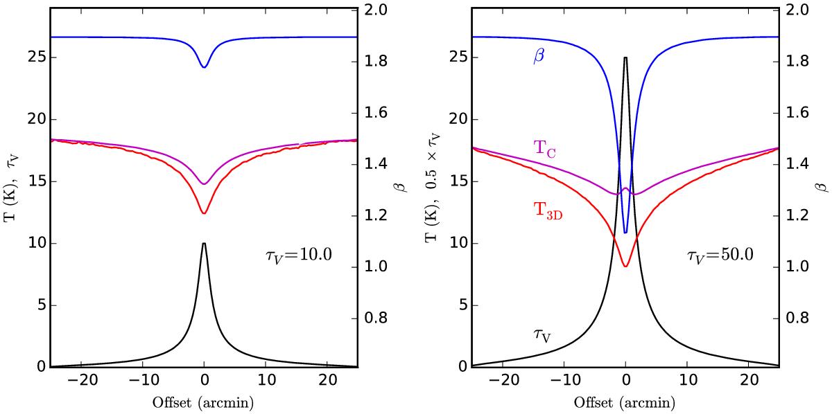
Fig. A.1

Cross sections of the cylindrical radiative transfer models. The peak optical depths are τV = 10.0 in the left and τV = 50.0 in the right panel. Each frame shows the τV profile, the actual dust temperature in the model midplane (T3D), and the colour temperature TC and spectral index β derived from the simulated surface brightness maps.
Current usage metrics show cumulative count of Article Views (full-text article views including HTML views, PDF and ePub downloads, according to the available data) and Abstracts Views on Vision4Press platform.
Data correspond to usage on the plateform after 2015. The current usage metrics is available 48-96 hours after online publication and is updated daily on week days.
Initial download of the metrics may take a while.