Free Access
Fig. 2

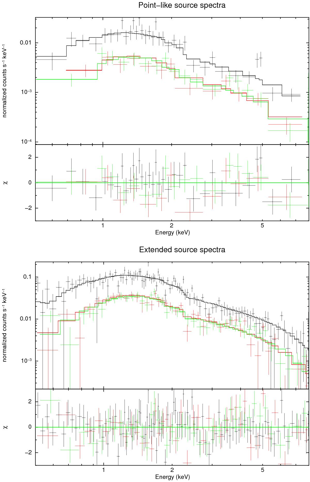
XMM-Newton PN (black) MOS1 (red), and MOS2 (green) spectra of the point-like Source 1 (upper panel) and the extended Source 2 (lower panel). Solid lines indicate the best-fit, absorbed power-law model (see Table 1). Lower panels show χ2 fit residuals.
This figure is made of several images, please see below:
Current usage metrics show cumulative count of Article Views (full-text article views including HTML views, PDF and ePub downloads, according to the available data) and Abstracts Views on Vision4Press platform.
Data correspond to usage on the plateform after 2015. The current usage metrics is available 48-96 hours after online publication and is updated daily on week days.
Initial download of the metrics may take a while.