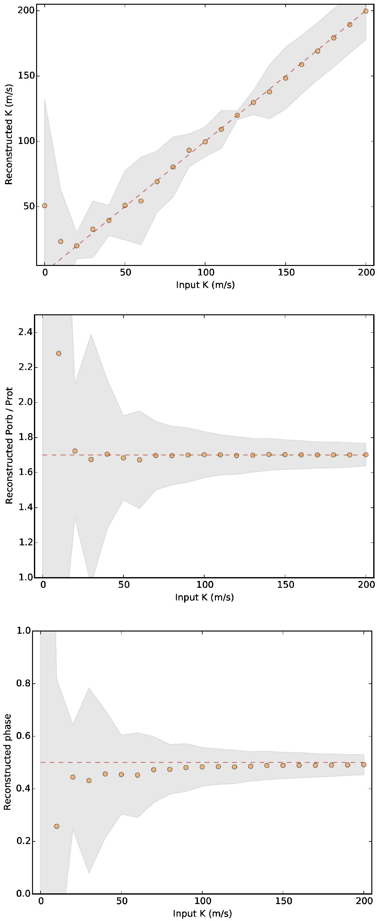
Fig. 5

Simulations for a radial velocity amplitude K varying from 0 to 200 m s-1. The orbital period is fixed and equal to 1.7 times the rotational period, as well as φ, which is set to 0.5. The dashed lines indicates the input values, while circles show the reconstructed parameters. The 1σ error bars derived on individual parameters from the paraboloid fit are plotted as grey areas.
Current usage metrics show cumulative count of Article Views (full-text article views including HTML views, PDF and ePub downloads, according to the available data) and Abstracts Views on Vision4Press platform.
Data correspond to usage on the plateform after 2015. The current usage metrics is available 48-96 hours after online publication and is updated daily on week days.
Initial download of the metrics may take a while.