Free Access
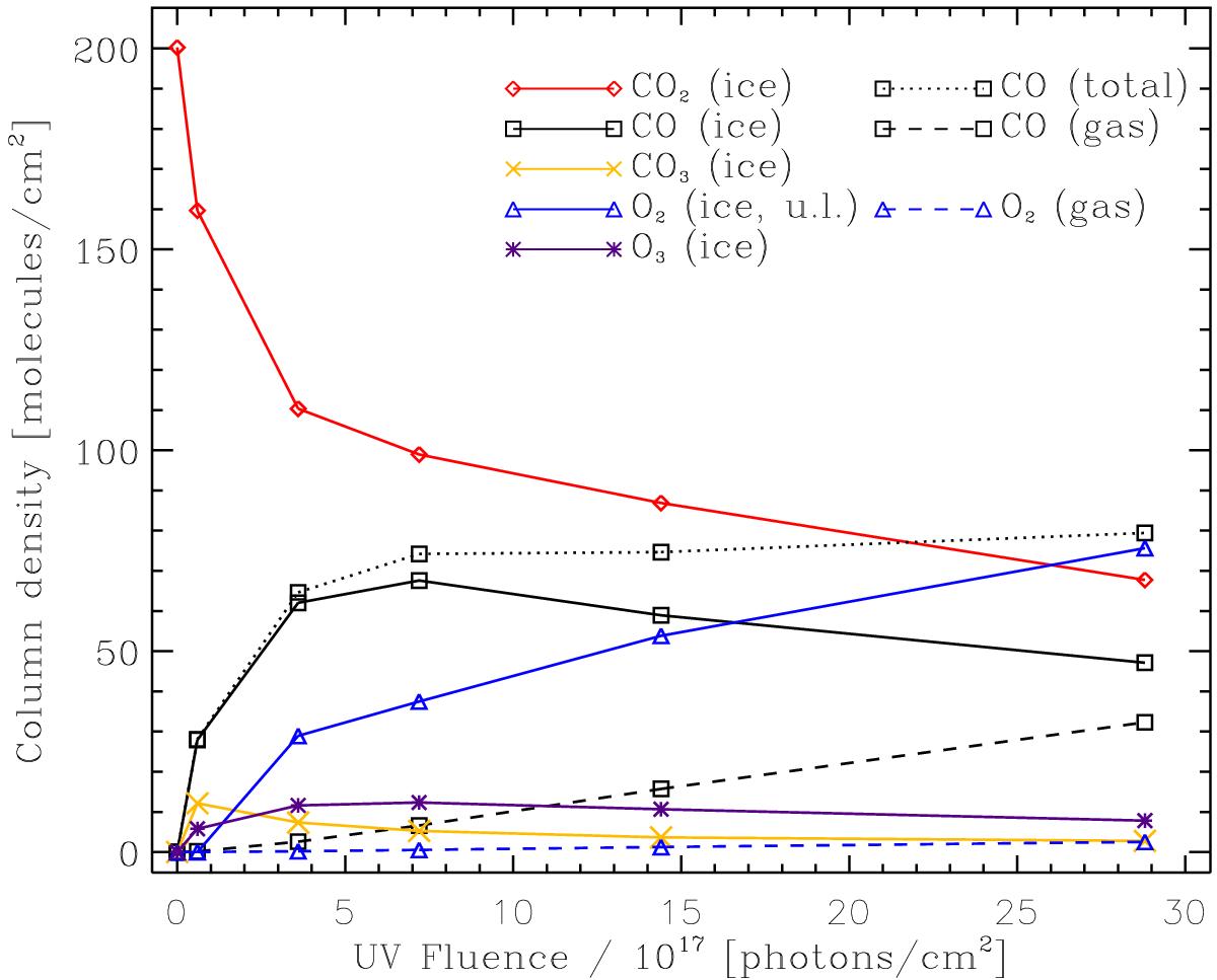
Fig. 8

Evolution of the ice and gas column densities of CO2 and its photoproducts during UV irradiation of a pure CO2 ice analog. O2 (ice) column density is an estimated upper limit assuming that all remaining O atoms are locked in O2 molecules.
Current usage metrics show cumulative count of Article Views (full-text article views including HTML views, PDF and ePub downloads, according to the available data) and Abstracts Views on Vision4Press platform.
Data correspond to usage on the plateform after 2015. The current usage metrics is available 48-96 hours after online publication and is updated daily on week days.
Initial download of the metrics may take a while.